mp-23655/Na4Al3Si3IO12/anharm

Equation of state

../../_images/fig_bm6380.png

(a) Equation of state

Harmonic properties

../../_images/fig_bandos_pr12781.png

(a) Phonon dispersion with participation ratio and DOS

../../_images/fig_thermo12781.png

(b) Thermodynamic properties

Grüneisen parameters

../../_images/fig_gru_all5299.png

(a) Grüneisen parameters

../../_images/fig_gruneisen5299.png

(b) Phonon dispersion with Grüneisen parameters

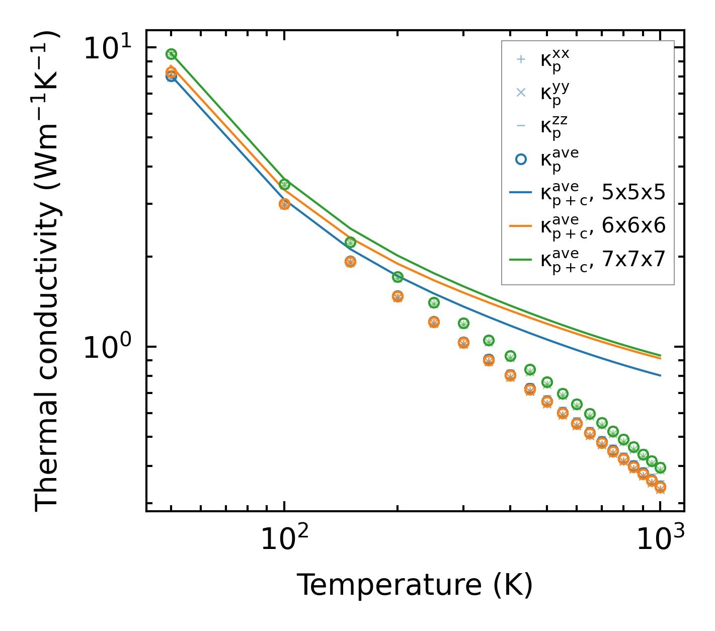
Thermal conductivity

3-phonon (LASSO) — q-mesh: 7x7x7, supercell: 1x1x1

../../_images/fig_kappa9955.png

(a) Temperature-dependent lattice thermal conductivity

../../_images/fig_kappa_vs_grain_size5361.png

(b) Peierls lattice thermal conductivity w.r.t grain size

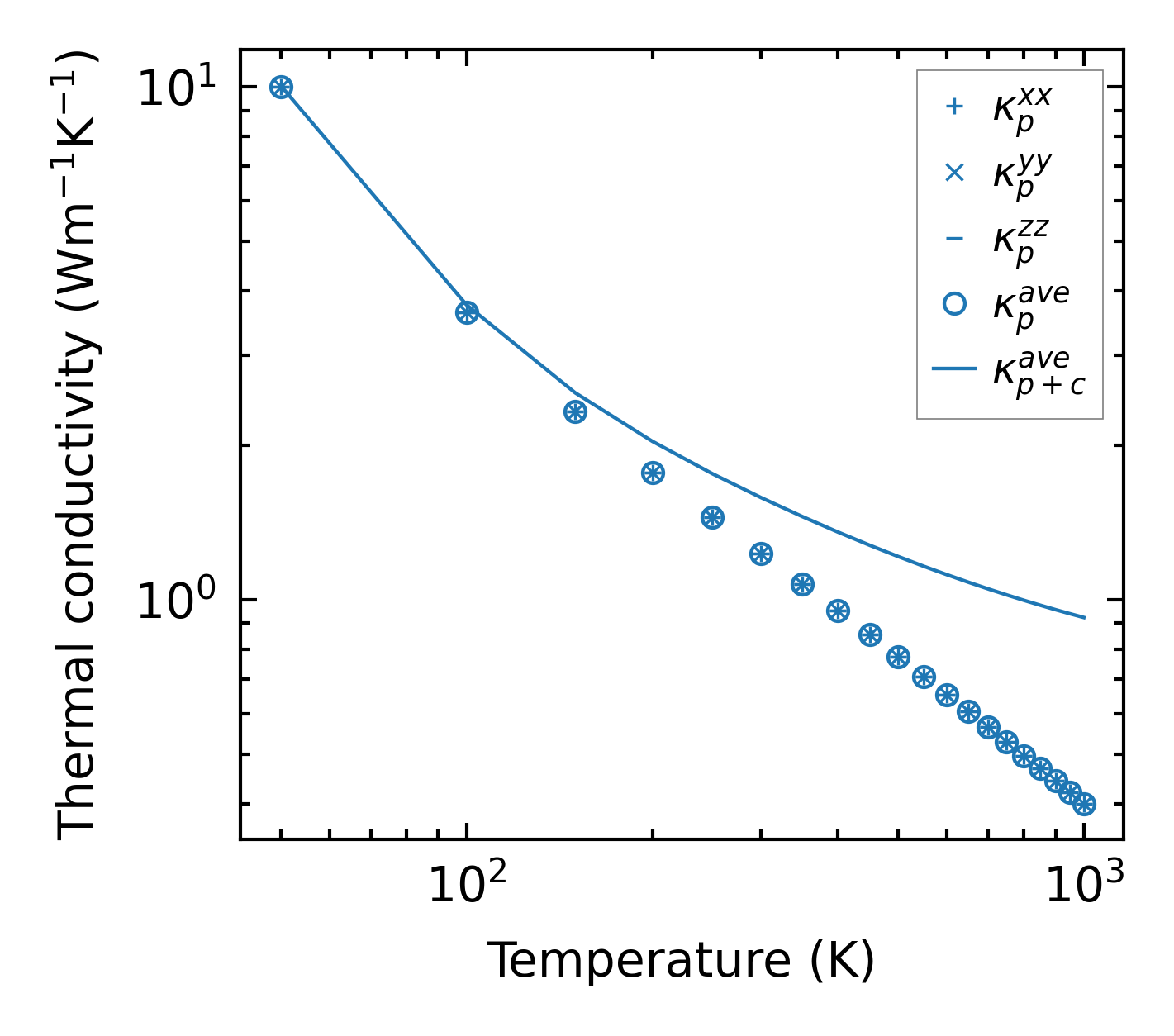
3-phonon (LASSO), supercell 2x2x2 — q-mesh: 7x7x7, supercell: 2x2x2

../../_images/fig_kappa9956.png

(a) Temperature-dependent lattice thermal conductivity

../../_images/fig_kappa_vs_grain_size5362.png

(b) Peierls lattice thermal conductivity w.r.t grain size

Phonon lifetime and scattering rates

../../_images/fig_lifetime5248.png

(a) Phonon lifetime due to phonon-phonon scattering

../../_images/fig_scat_rates5247.png

(b) Phonon scattering rates

Cumulative and spectral thermal conductivity

../../_images/fig_cumu_frequency5248.png

(a) Spectral and cumulative thermal conductivity w.r.t frequency

../../_images/fig_cumu_mfp5247.png

(b) Spectral and cumulative thermal conductivity w.r.t MFP

Force constants

../../_images/fig_fc212477.png

(a) Force constants w.r.t atomic distance

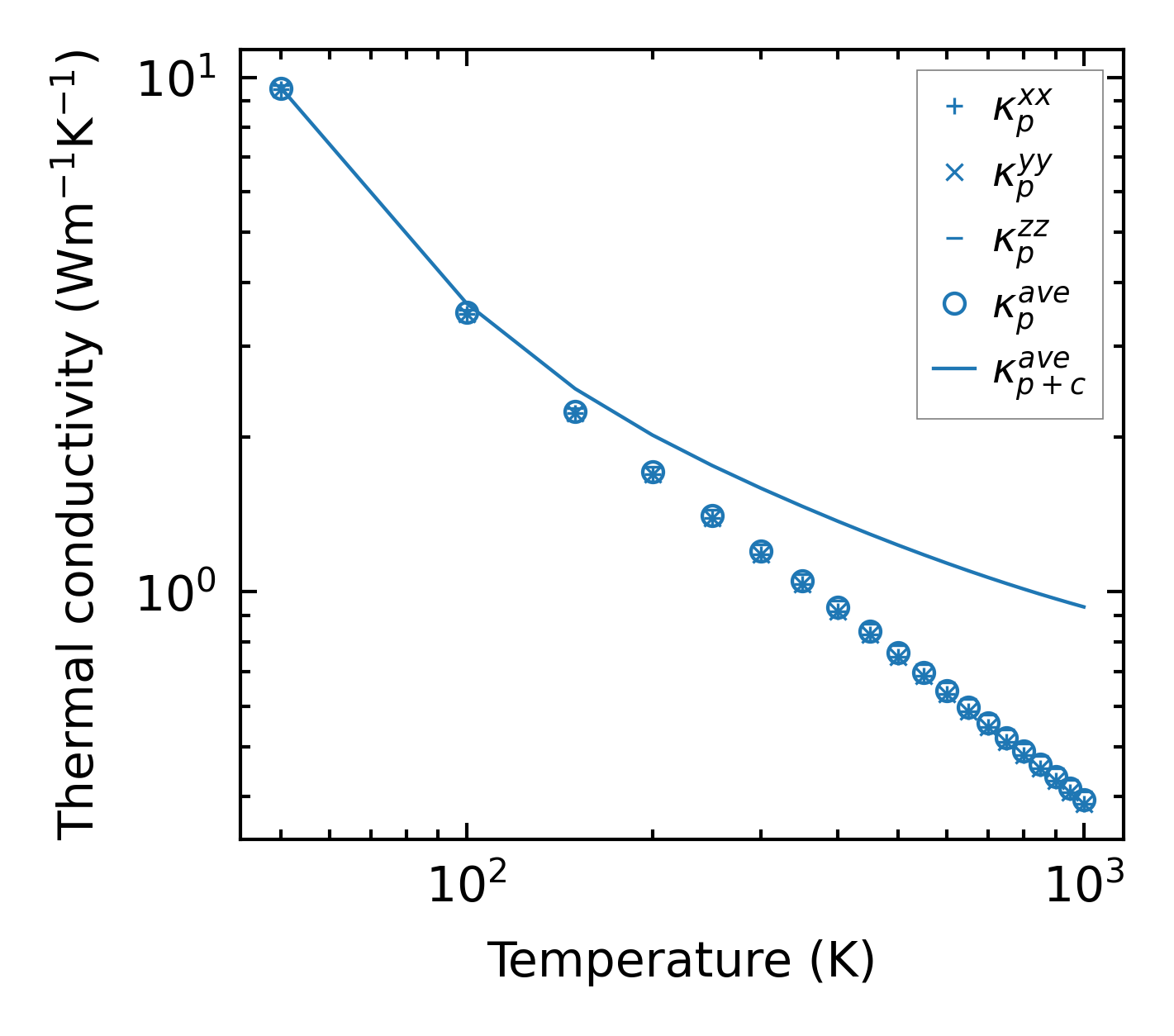
Summary

../../_images/fig_kappa9957.png

(a) Temperature-dependent lattice thermal conductivity

../../_images/fig_times21680.png

(b) Computation time