mp-23852/Na3H5C2O8/harm

Harmonic properties

../../_images/fig_bandos_pr12522.png

(a) Phonon dispersion with participation ratio and DOS

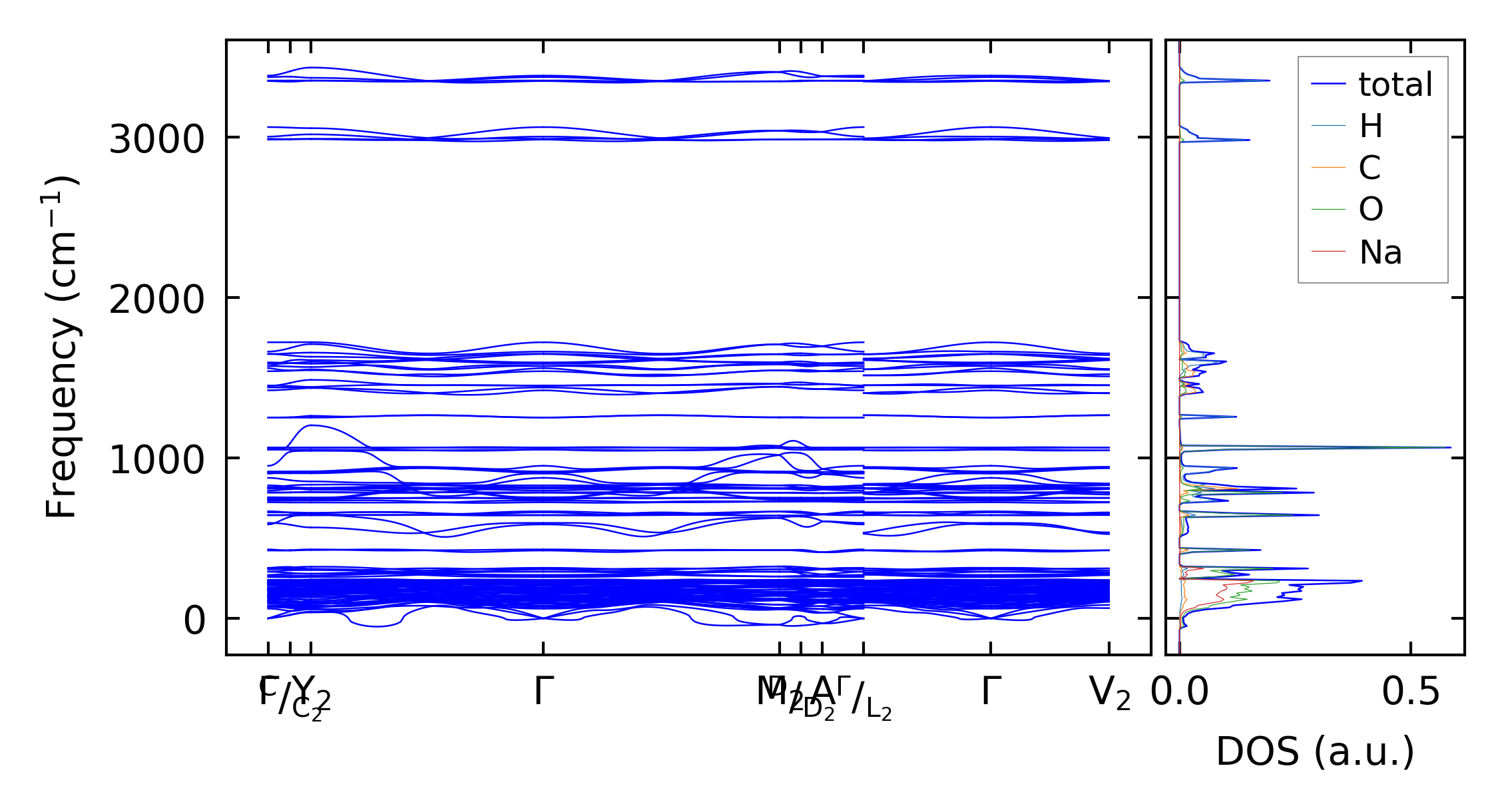
../../_images/fig_bandos16853.png

(b) Phonon dispersion and DOS

../../_images/fig_thermo12522.png

(c) Thermodynamic properties

Force constants

../../_images/fig_fc212221.png

(a) Force constants w.r.t atomic distance

Summary

../../_images/fig_times21287.png

(a) Computation time