mp-23058/NdClO/anharm

Harmonic properties

../../_images/fig_bandos_pr12850.png

(a) Phonon dispersion with participation ratio and DOS

../../_images/fig_thermo12850.png

(b) Thermodynamic properties

Grüneisen parameters

../../_images/fig_gru_all5329.png

(a) Grüneisen parameters

../../_images/fig_gruneisen5329.png

(b) Phonon dispersion with Grüneisen parameters

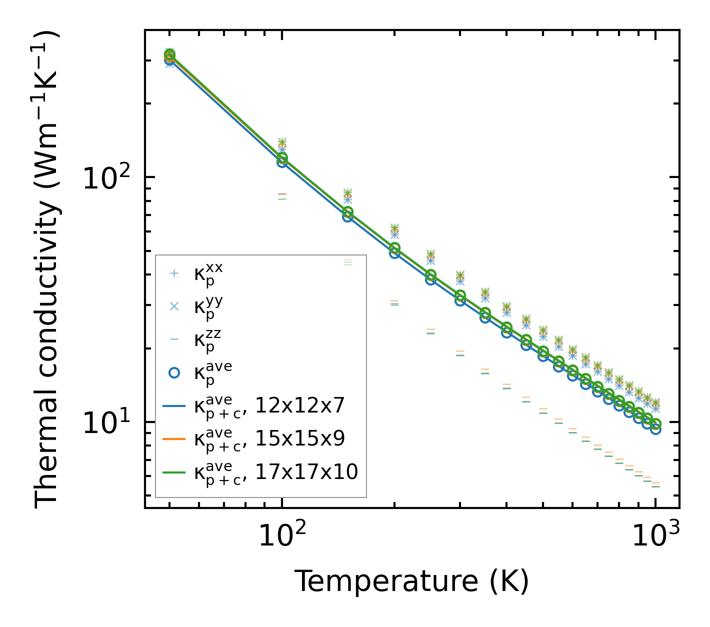
Thermal conductivity

3-phonon (LASSO) — q-mesh: 17x17x10, supercell: 3x3x2

../../_images/fig_kappa10013.png

(a) Temperature-dependent lattice thermal conductivity

../../_images/fig_kappa_vs_grain_size5393.png

(b) Peierls lattice thermal conductivity w.r.t grain size

Phonon lifetime and scattering rates

../../_images/fig_lifetime5278.png

(a) Phonon lifetime due to phonon-phonon scattering

../../_images/fig_scat_rates5277.png

(b) Phonon scattering rates

Cumulative and spectral thermal conductivity

../../_images/fig_cumu_frequency5278.png

(a) Spectral and cumulative thermal conductivity w.r.t frequency

../../_images/fig_cumu_mfp5277.png

(b) Spectral and cumulative thermal conductivity w.r.t MFP

Force constants

../../_images/fig_fc212546.png

(a) Force constants w.r.t atomic distance

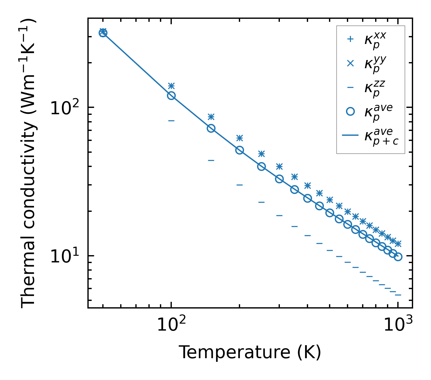
Summary

../../_images/fig_kappa10014.png

(a) Temperature-dependent lattice thermal conductivity

../../_images/fig_times21771.png

(b) Computation time