mp-23330-2/NaClO3/harm

Equation of state

../../_images/fig_bm6490.png

(a) Equation of state

Harmonic properties

../../_images/fig_bandos_pr12999.png

(a) Phonon dispersion with participation ratio and DOS

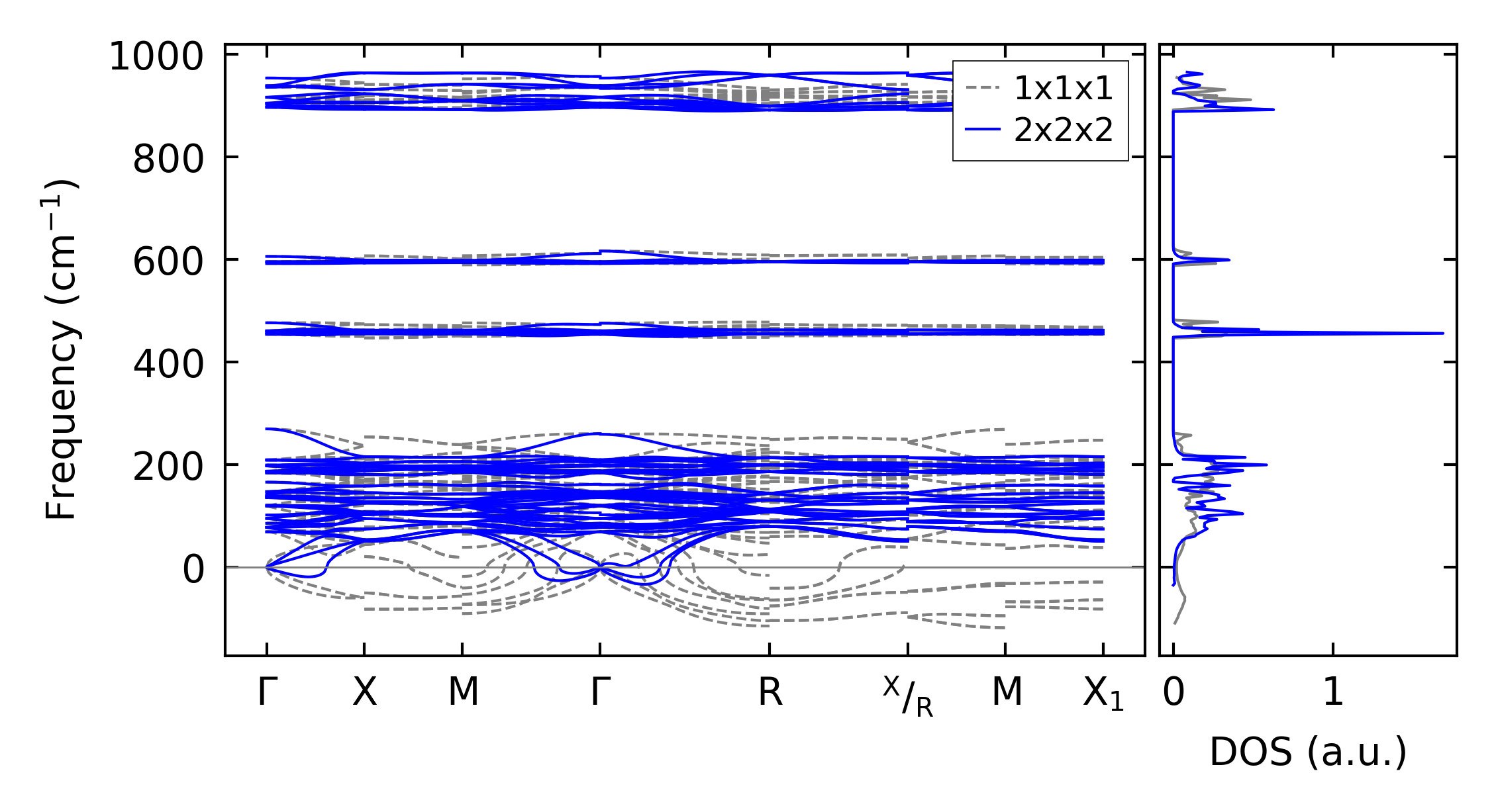
../../_images/fig_bandos17383.png

(b) Phonon dispersion and DOS

../../_images/fig_thermo12999.png

(c) Thermodynamic properties

Force constants

../../_images/fig_fc212680.png

(a) Force constants w.r.t atomic distance

Summary

../../_images/fig_times21978.png

(a) Computation time