mp-23392/K4CdCl6/anharm

Harmonic properties

../../_images/fig_bandos_pr12656.png

(a) Phonon dispersion with participation ratio and DOS

../../_images/fig_thermo12656.png

(b) Thermodynamic properties

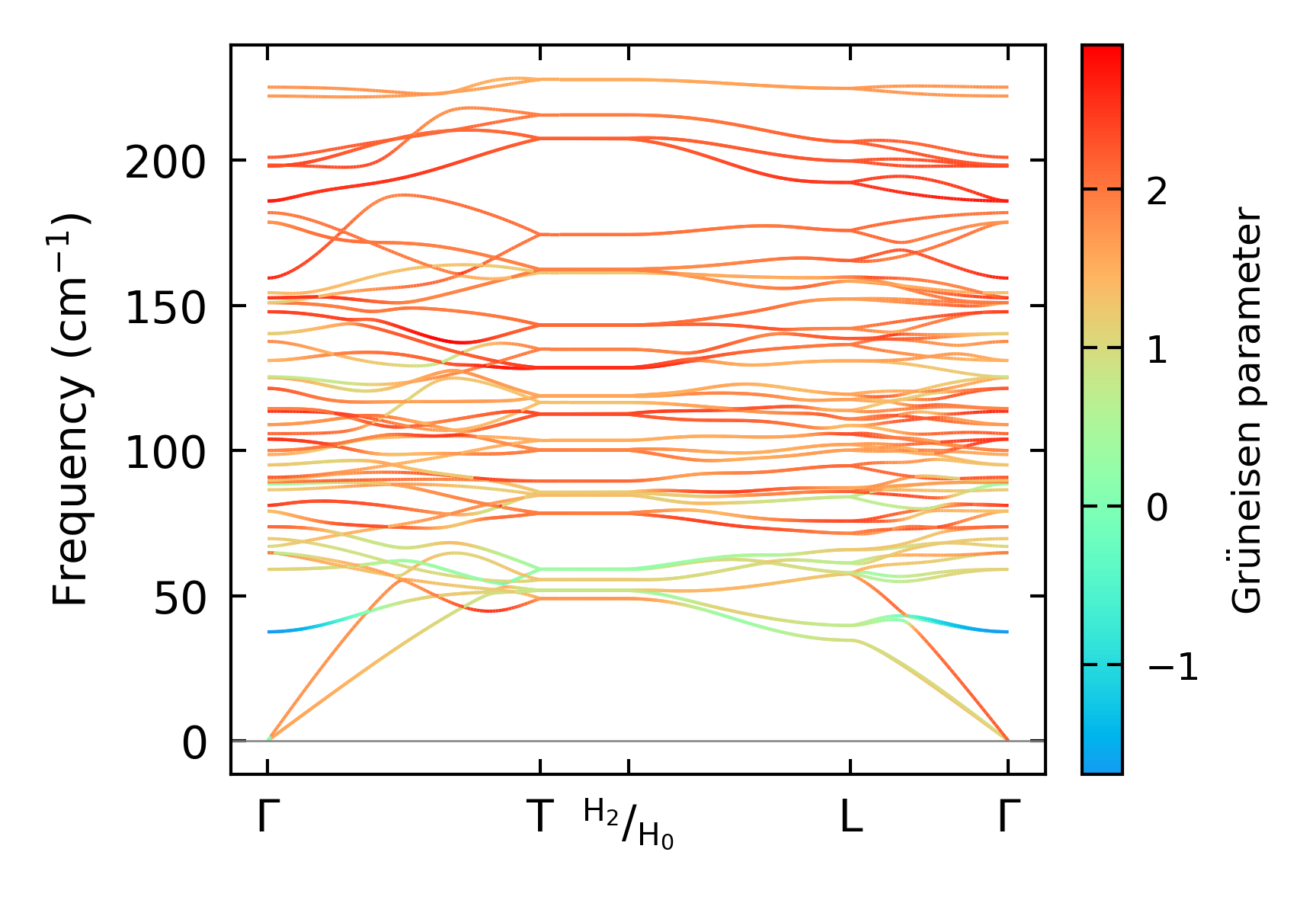
Grüneisen parameters

../../_images/fig_gru_all5240.png

(a) Grüneisen parameters

../../_images/fig_gruneisen5240.png

(b) Phonon dispersion with Grüneisen parameters

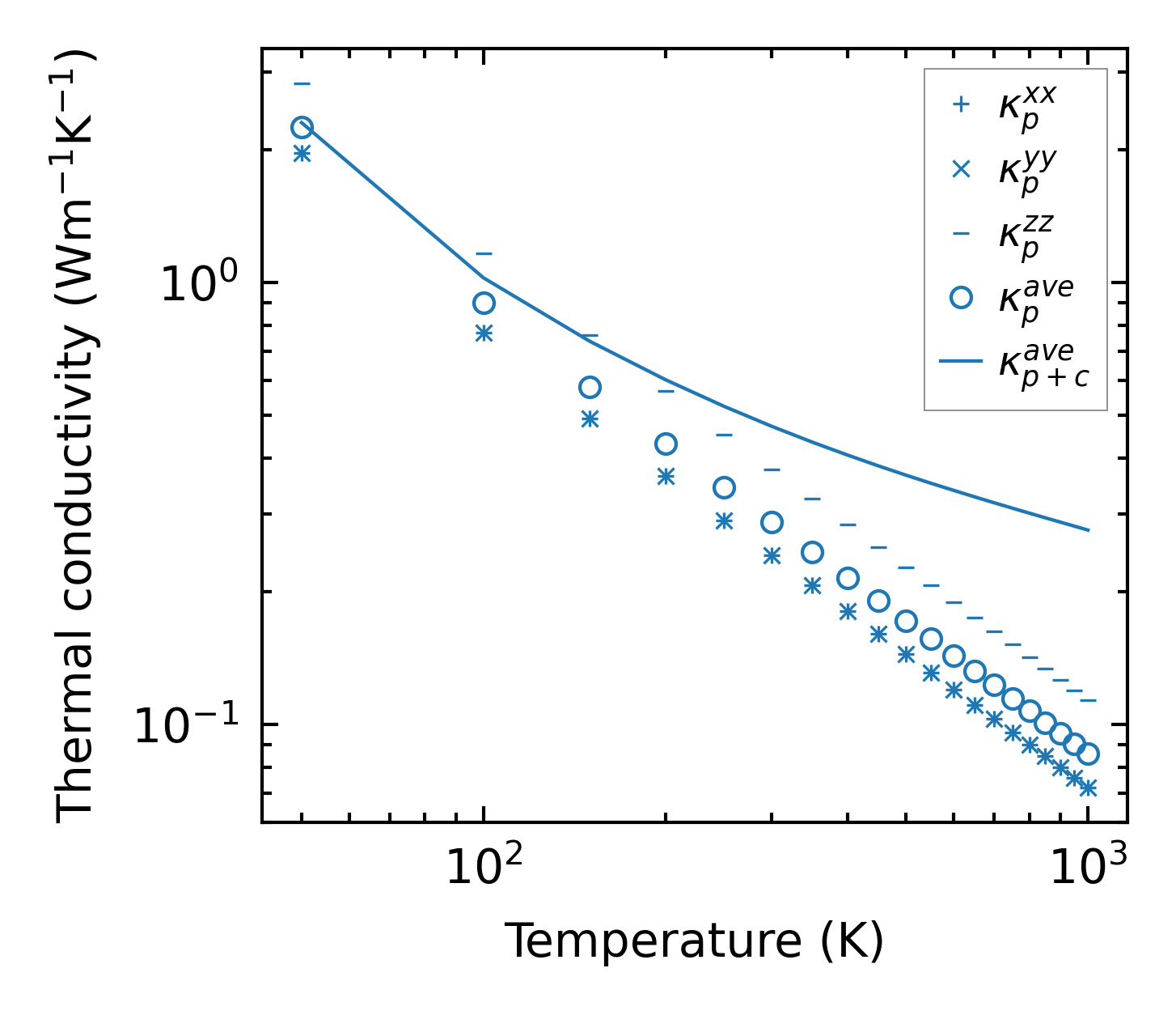
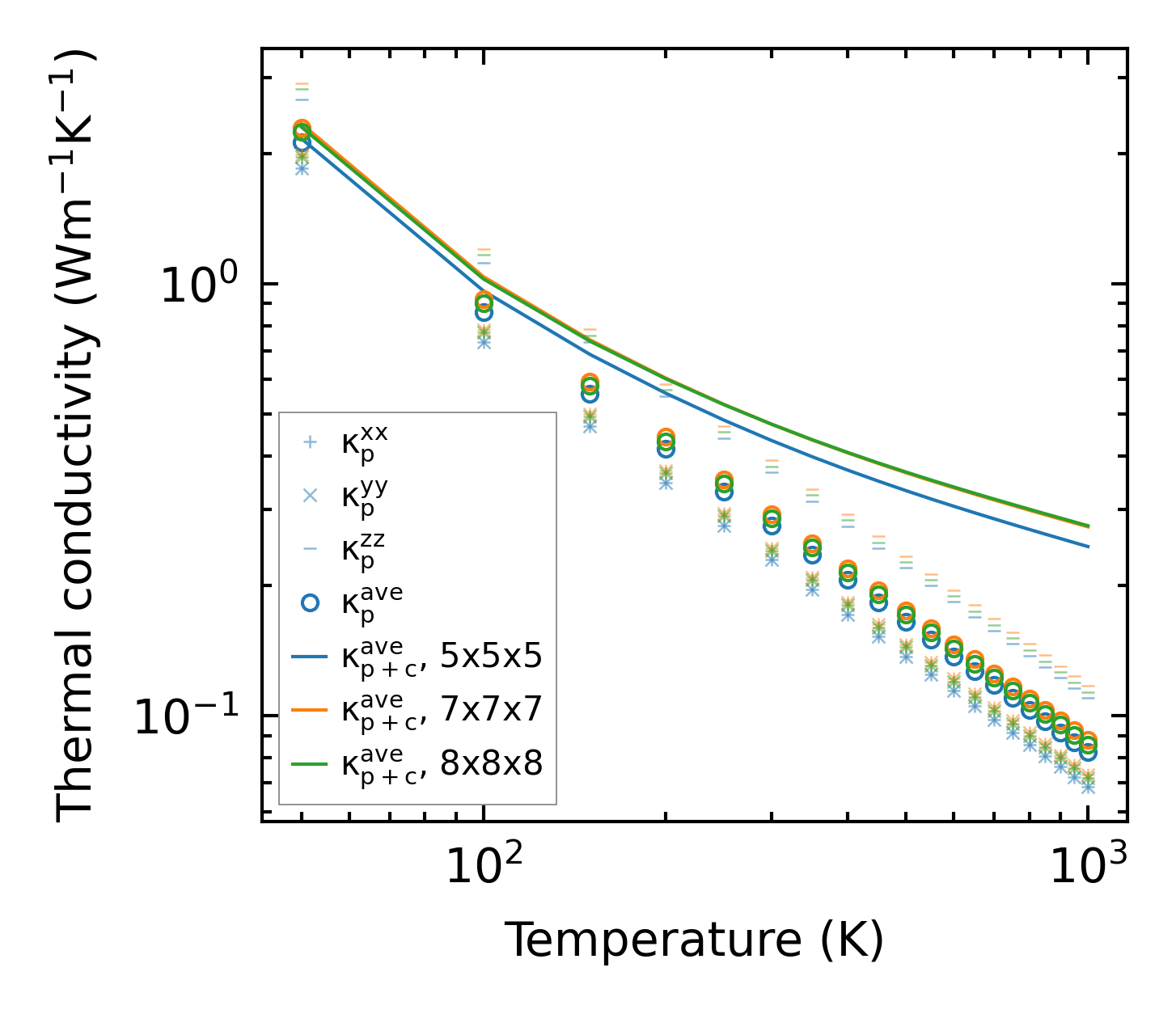
Thermal conductivity

3-phonon (LASSO) — q-mesh: 8x8x8, supercell: 1x1x1

../../_images/fig_kappa9849.png

(a) Temperature-dependent lattice thermal conductivity

../../_images/fig_kappa_vs_grain_size5302.png

(b) Peierls lattice thermal conductivity w.r.t grain size

Phonon lifetime and scattering rates

../../_images/fig_lifetime5189.png

(a) Phonon lifetime due to phonon-phonon scattering

../../_images/fig_scat_rates5188.png

(b) Phonon scattering rates

Cumulative and spectral thermal conductivity

../../_images/fig_cumu_frequency5189.png

(a) Spectral and cumulative thermal conductivity w.r.t frequency

../../_images/fig_cumu_mfp5188.png

(b) Spectral and cumulative thermal conductivity w.r.t MFP

Force constants

../../_images/fig_fc212353.png

(a) Force constants w.r.t atomic distance

Summary

../../_images/fig_kappa9850.png

(a) Temperature-dependent lattice thermal conductivity

../../_images/fig_times21493.png

(b) Computation time