mp-23056/Sr2BrN/anharm

Harmonic properties

../../_images/fig_bandos_pr12848.png

(a) Phonon dispersion with participation ratio and DOS

../../_images/fig_thermo12848.png

(b) Thermodynamic properties

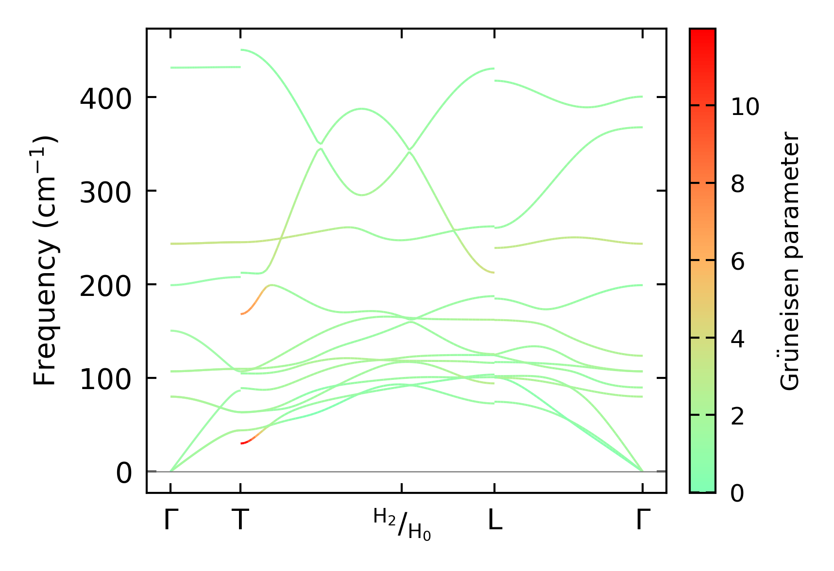
Grüneisen parameters

../../_images/fig_gru_all5327.png

(a) Grüneisen parameters

../../_images/fig_gruneisen5327.png

(b) Phonon dispersion with Grüneisen parameters

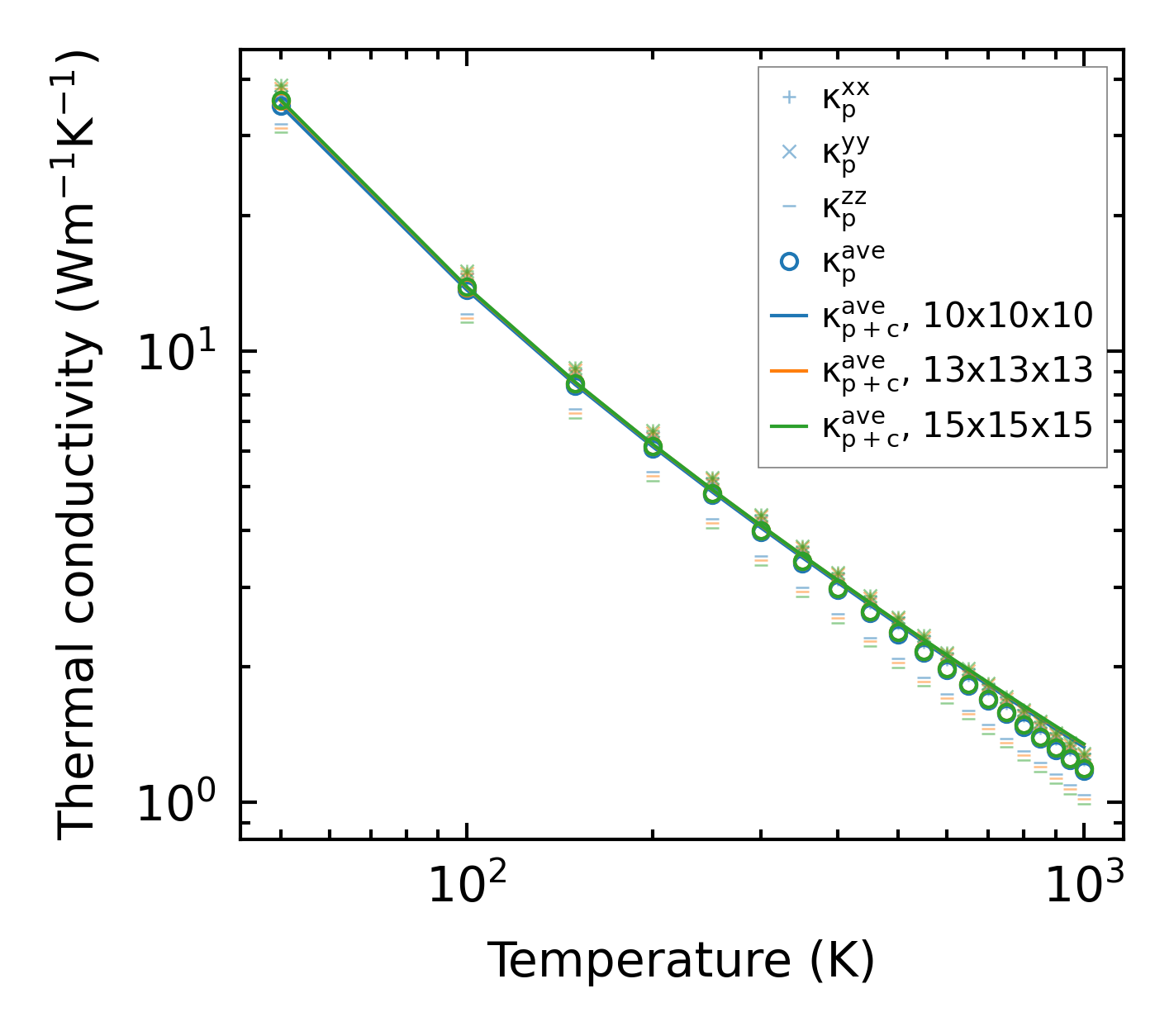
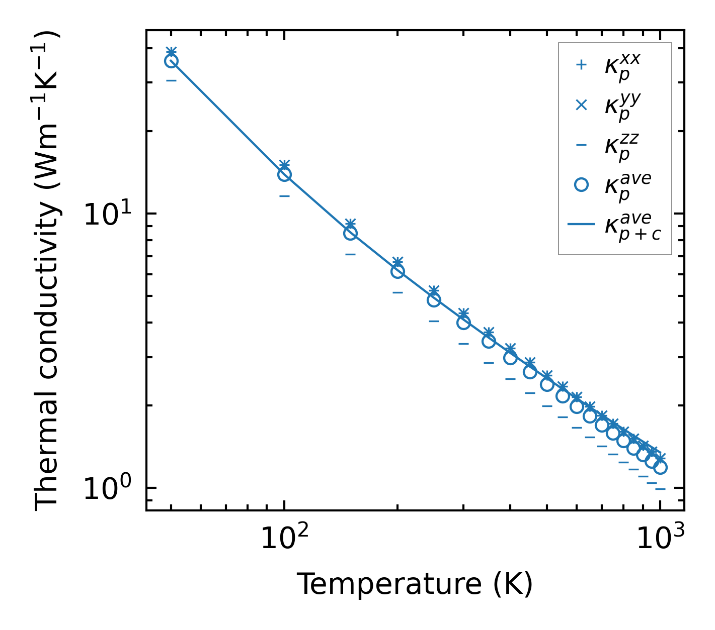
Thermal conductivity

3-phonon (LASSO) — q-mesh: 15x15x15, supercell: 3x3x1

../../_images/fig_kappa10009.png

(a) Temperature-dependent lattice thermal conductivity

../../_images/fig_kappa_vs_grain_size5391.png

(b) Peierls lattice thermal conductivity w.r.t grain size

Phonon lifetime and scattering rates

../../_images/fig_lifetime5276.png

(a) Phonon lifetime due to phonon-phonon scattering

../../_images/fig_scat_rates5275.png

(b) Phonon scattering rates

Cumulative and spectral thermal conductivity

../../_images/fig_cumu_frequency5276.png

(a) Spectral and cumulative thermal conductivity w.r.t frequency

../../_images/fig_cumu_mfp5275.png

(b) Spectral and cumulative thermal conductivity w.r.t MFP

Force constants

../../_images/fig_fc212544.png

(a) Force constants w.r.t atomic distance

Summary

../../_images/fig_kappa10010.png

(a) Temperature-dependent lattice thermal conductivity

../../_images/fig_times21768.png

(b) Computation time