mp-23622/Sm3Si2ClO8/anharm

Harmonic properties

../../_images/fig_bandos_pr12770.png

(a) Phonon dispersion with participation ratio and DOS

../../_images/fig_thermo12770.png

(b) Thermodynamic properties

Grüneisen parameters

../../_images/fig_gru_all5293.png

(a) Grüneisen parameters

../../_images/fig_gruneisen5293.png

(b) Phonon dispersion with Grüneisen parameters

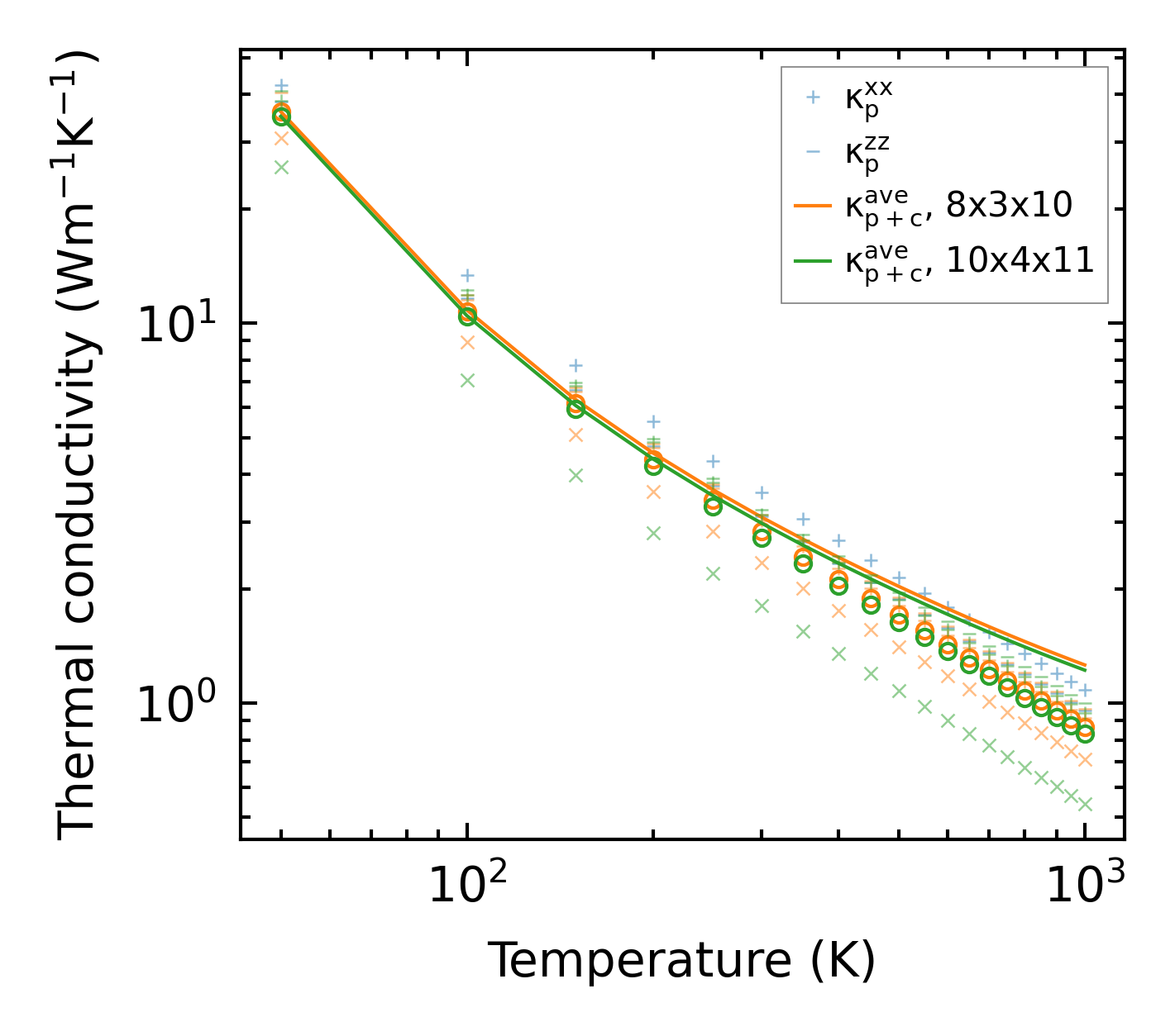
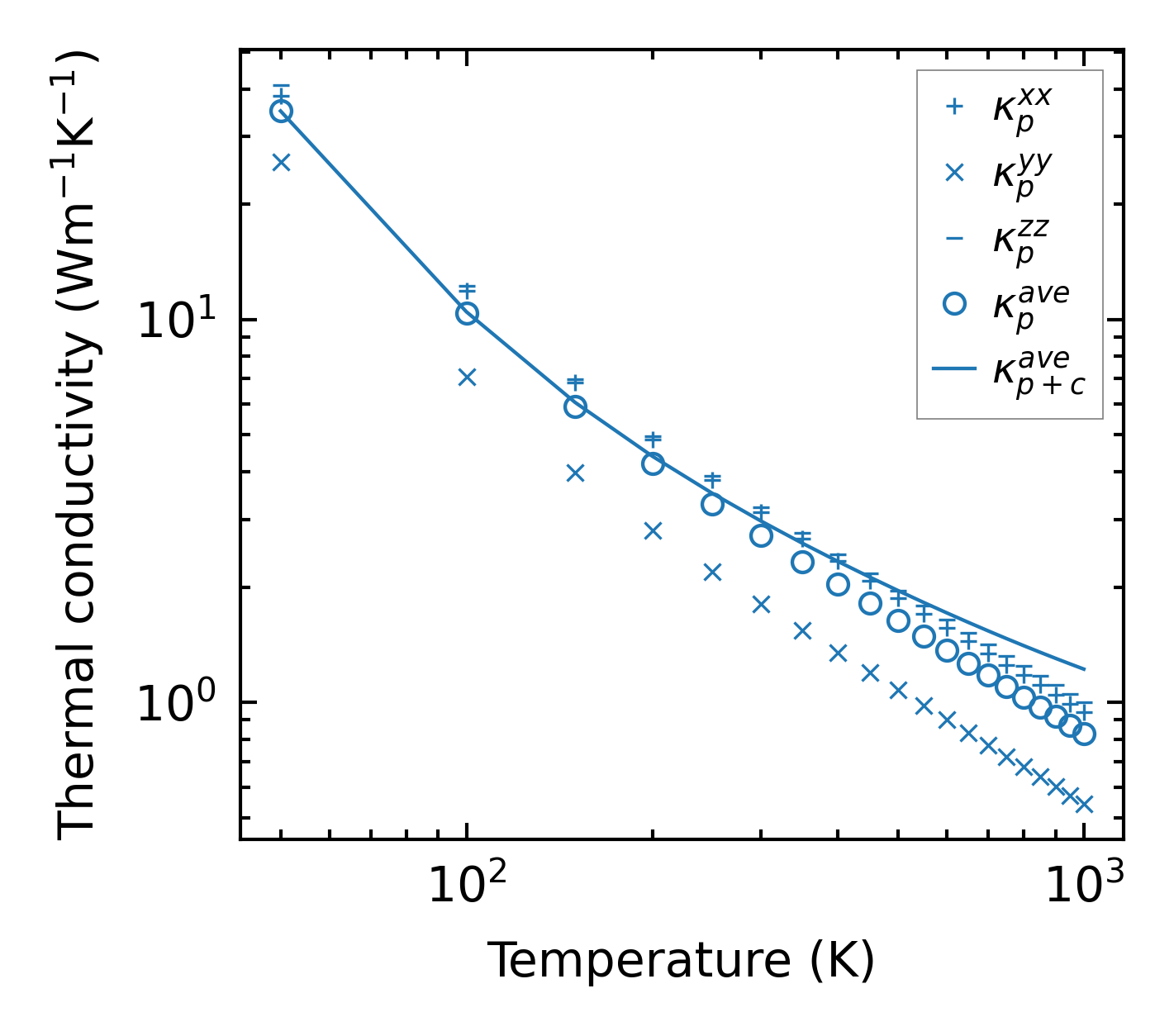
Thermal conductivity

3-phonon (LASSO) — q-mesh: 10x4x11, supercell: 1x1x2

../../_images/fig_kappa9943.png

(a) Temperature-dependent lattice thermal conductivity

../../_images/fig_kappa_vs_grain_size5355.png

(b) Peierls lattice thermal conductivity w.r.t grain size

Phonon lifetime and scattering rates

../../_images/fig_lifetime5242.png

(a) Phonon lifetime due to phonon-phonon scattering

../../_images/fig_scat_rates5241.png

(b) Phonon scattering rates

Cumulative and spectral thermal conductivity

../../_images/fig_cumu_frequency5242.png

(a) Spectral and cumulative thermal conductivity w.r.t frequency

../../_images/fig_cumu_mfp5241.png

(b) Spectral and cumulative thermal conductivity w.r.t MFP

Force constants

../../_images/fig_fc212466.png

(a) Force constants w.r.t atomic distance

Summary

../../_images/fig_kappa9944.png

(a) Temperature-dependent lattice thermal conductivity

../../_images/fig_times21662.png

(b) Computation time