mp-23122-2/Li10B14Cl2O25/anharm

Harmonic properties

../../_images/fig_bandos_pr12897.png

(a) Phonon dispersion with participation ratio and DOS

../../_images/fig_thermo12897.png

(b) Thermodynamic properties

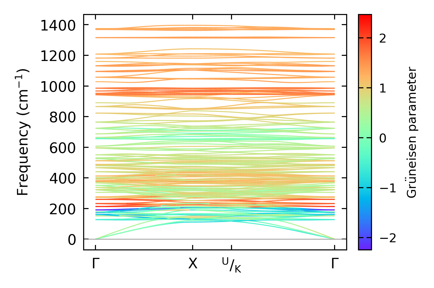
Grüneisen parameters

../../_images/fig_gru_all5353.png

(a) Grüneisen parameters

../../_images/fig_gruneisen5353.png

(b) Phonon dispersion with Grüneisen parameters

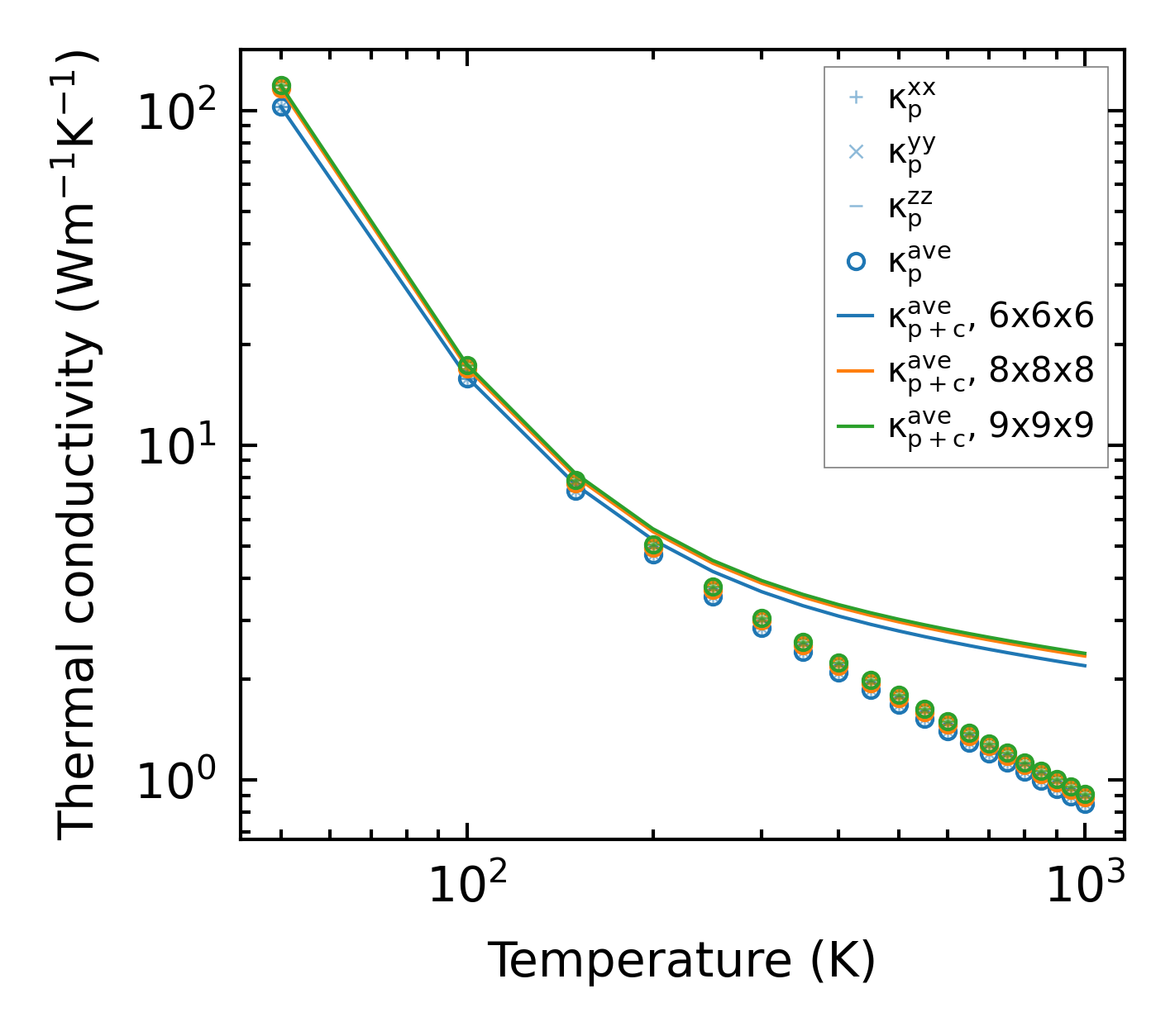
Thermal conductivity

3-phonon (LASSO) — q-mesh: 9x9x9, supercell: 1x1x1

../../_images/fig_kappa10056.png

(a) Temperature-dependent lattice thermal conductivity

Force constants

../../_images/fig_fc212593.png

(a) Force constants w.r.t atomic distance

Summary

../../_images/fig_kappa10057.png

(a) Temperature-dependent lattice thermal conductivity

../../_images/fig_times21835.png

(b) Computation time