mp-23309-2/ScCl3/anharm

Equation of state

../../_images/fig_bm6484.png

(a) Equation of state

Harmonic properties

../../_images/fig_bandos_pr12988.png

(a) Phonon dispersion with participation ratio and DOS

../../_images/fig_bandos17370.png

(b) Phonon dispersion and DOS

../../_images/fig_thermo12988.png

(c) Thermodynamic properties

Grüneisen parameters

../../_images/fig_gru_all5406.png

(a) Grüneisen parameters

../../_images/fig_gruneisen5406.png

(b) Phonon dispersion with Grüneisen parameters

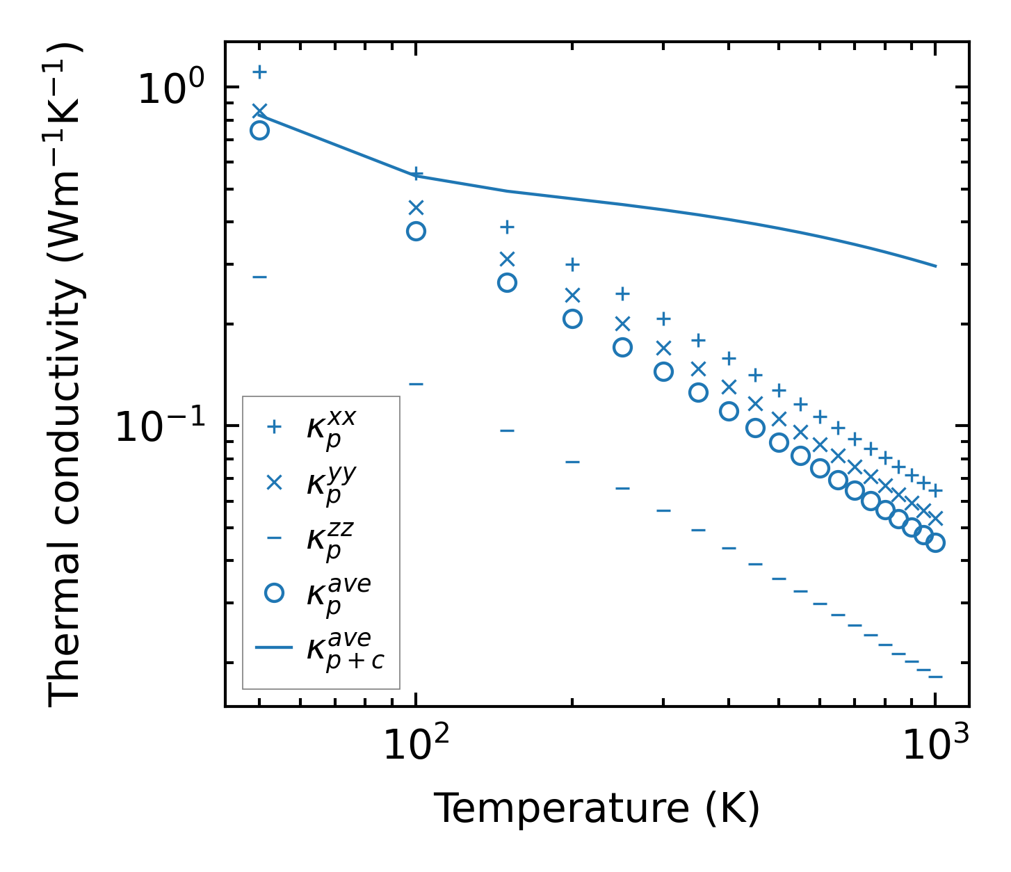
Thermal conductivity

3-phonon (LASSO), supercell 3x3x1 — q-mesh: 12x12x12, supercell: 3x3x1

../../_images/fig_kappa10156.png

(a) Temperature-dependent lattice thermal conductivity

../../_images/fig_kappa_vs_grain_size5470.png

(b) Peierls lattice thermal conductivity w.r.t grain size

Phonon lifetime and scattering rates

../../_images/fig_lifetime5354.png

(a) Phonon lifetime due to phonon-phonon scattering

../../_images/fig_scat_rates5353.png

(b) Phonon scattering rates

Cumulative and spectral thermal conductivity

../../_images/fig_cumu_frequency5354.png

(a) Spectral and cumulative thermal conductivity w.r.t frequency

../../_images/fig_cumu_mfp5353.png

(b) Spectral and cumulative thermal conductivity w.r.t MFP

Force constants

../../_images/fig_fc212669.png

(a) Force constants w.r.t atomic distance

Summary

../../_images/fig_times21964.png

(a) Computation time