mp-23710-2/MgH2/anharm

Equation of state

../../_images/fig_bm6397.png

(a) Equation of state

Harmonic properties

../../_images/fig_bandos_pr12812.png

(a) Phonon dispersion with participation ratio and DOS

../../_images/fig_thermo12812.png

(b) Thermodynamic properties

Grüneisen parameters

../../_images/fig_gru_all5312.png

(a) Grüneisen parameters

../../_images/fig_gruneisen5312.png

(b) Phonon dispersion with Grüneisen parameters

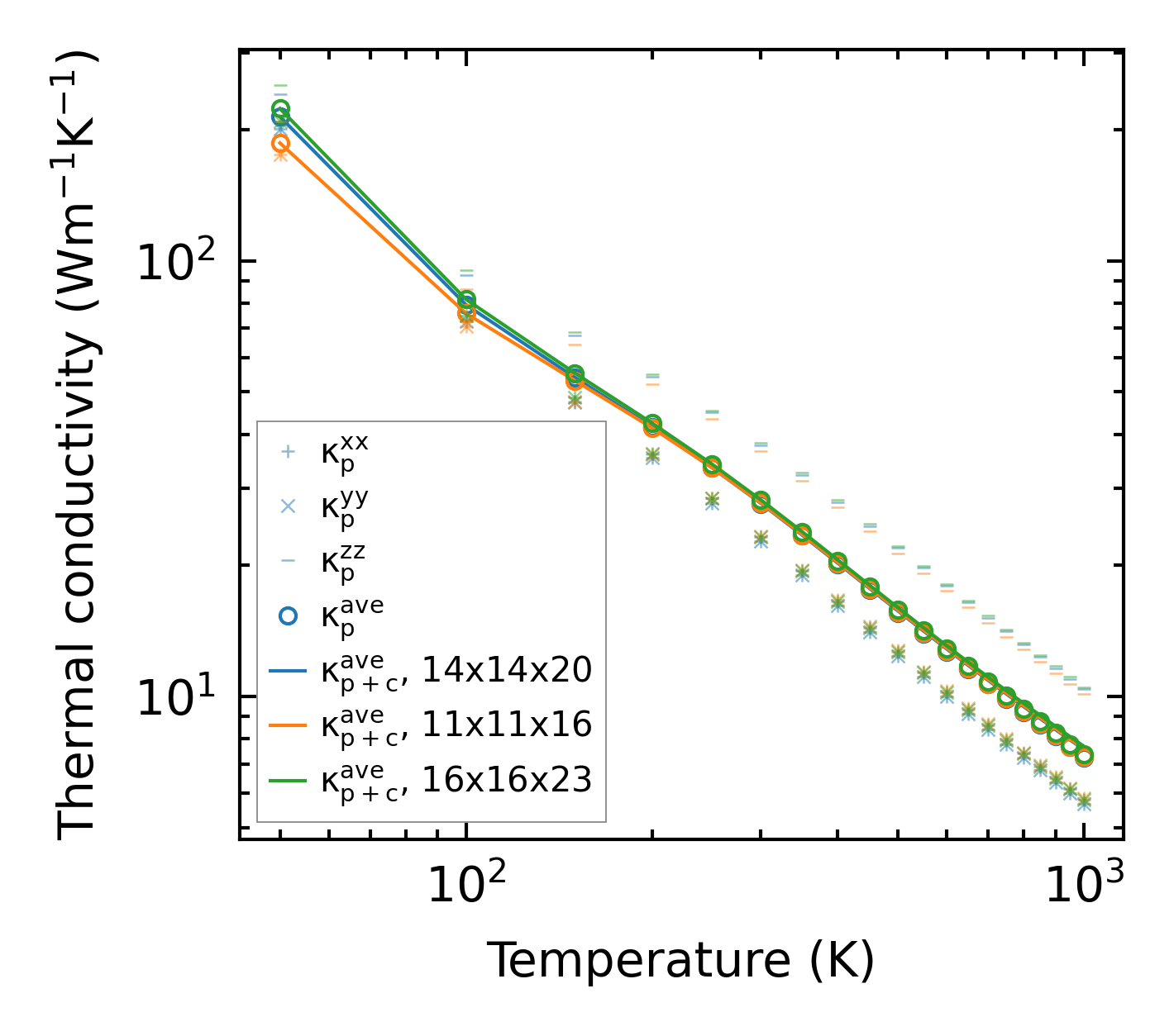
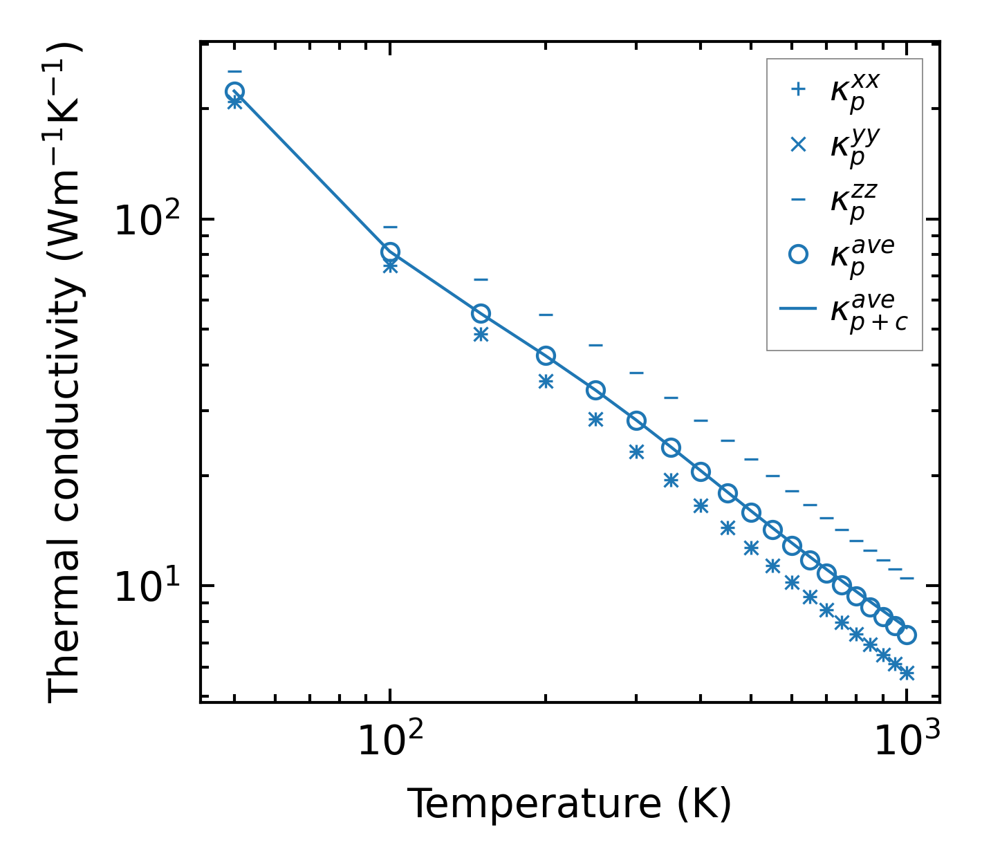
Thermal conductivity

3-phonon (LASSO) — q-mesh: 16x16x23, supercell: 2x2x3

../../_images/fig_kappa9979.png

(a) Temperature-dependent lattice thermal conductivity

../../_images/fig_kappa_vs_grain_size5375.png

(b) Peierls lattice thermal conductivity w.r.t grain size

Phonon lifetime and scattering rates

../../_images/fig_lifetime5261.png

(a) Phonon lifetime due to phonon-phonon scattering

../../_images/fig_scat_rates5260.png

(b) Phonon scattering rates

Cumulative and spectral thermal conductivity

../../_images/fig_cumu_frequency5261.png

(a) Spectral and cumulative thermal conductivity w.r.t frequency

../../_images/fig_cumu_mfp5260.png

(b) Spectral and cumulative thermal conductivity w.r.t MFP

Force constants

../../_images/fig_fc212508.png

(a) Force constants w.r.t atomic distance

Summary

../../_images/fig_kappa9980.png

(a) Temperature-dependent lattice thermal conductivity

../../_images/fig_times21722.png

(b) Computation time