mp-23737/KMgH3/anharm

Harmonic properties

../../_images/fig_bandos_pr12479.png

(a) Phonon dispersion with participation ratio and DOS

../../_images/fig_thermo12479.png

(b) Thermodynamic properties

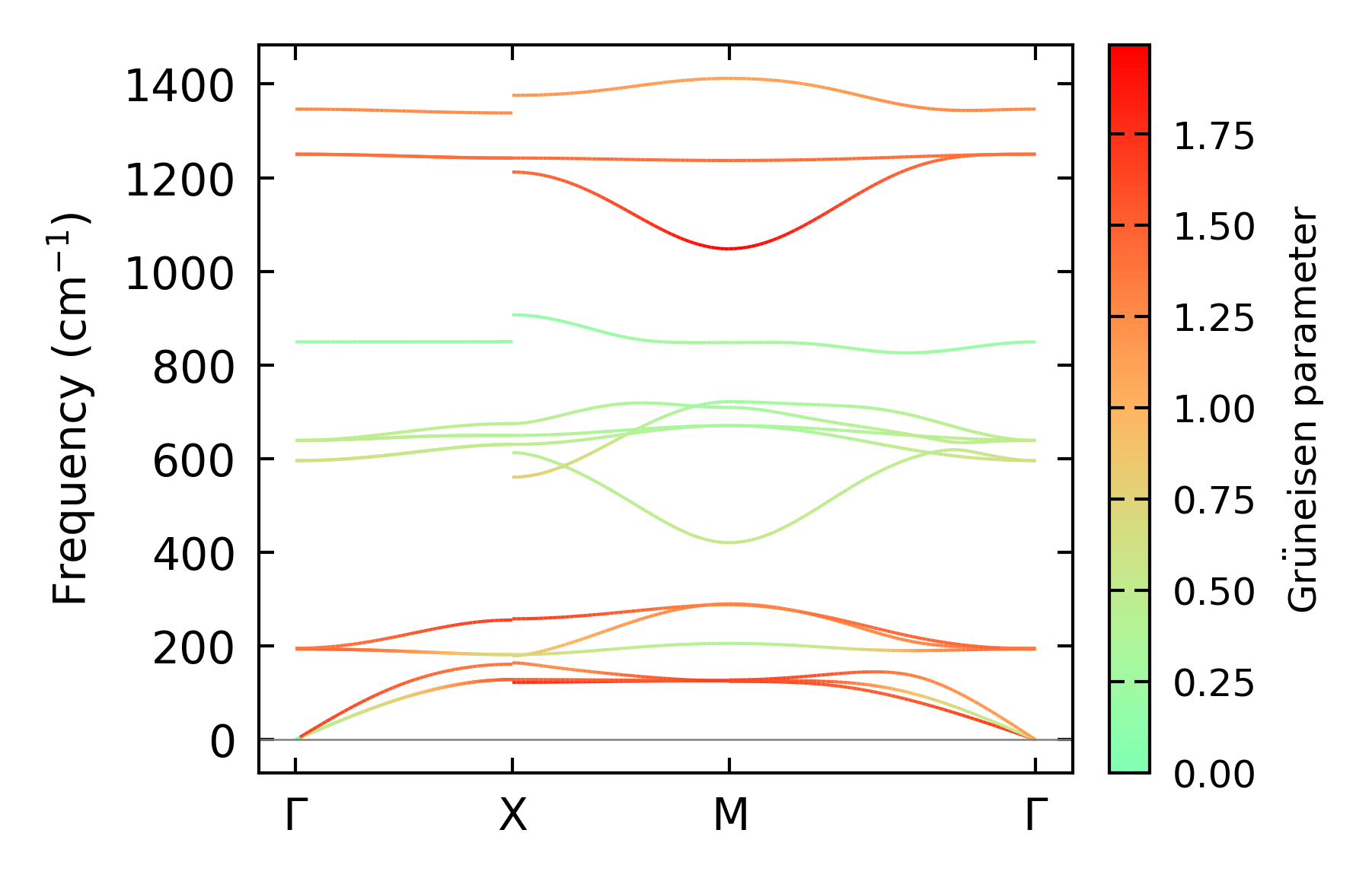
Grüneisen parameters

../../_images/fig_gru_all5180.png

(a) Grüneisen parameters

../../_images/fig_gruneisen5180.png

(b) Phonon dispersion with Grüneisen parameters

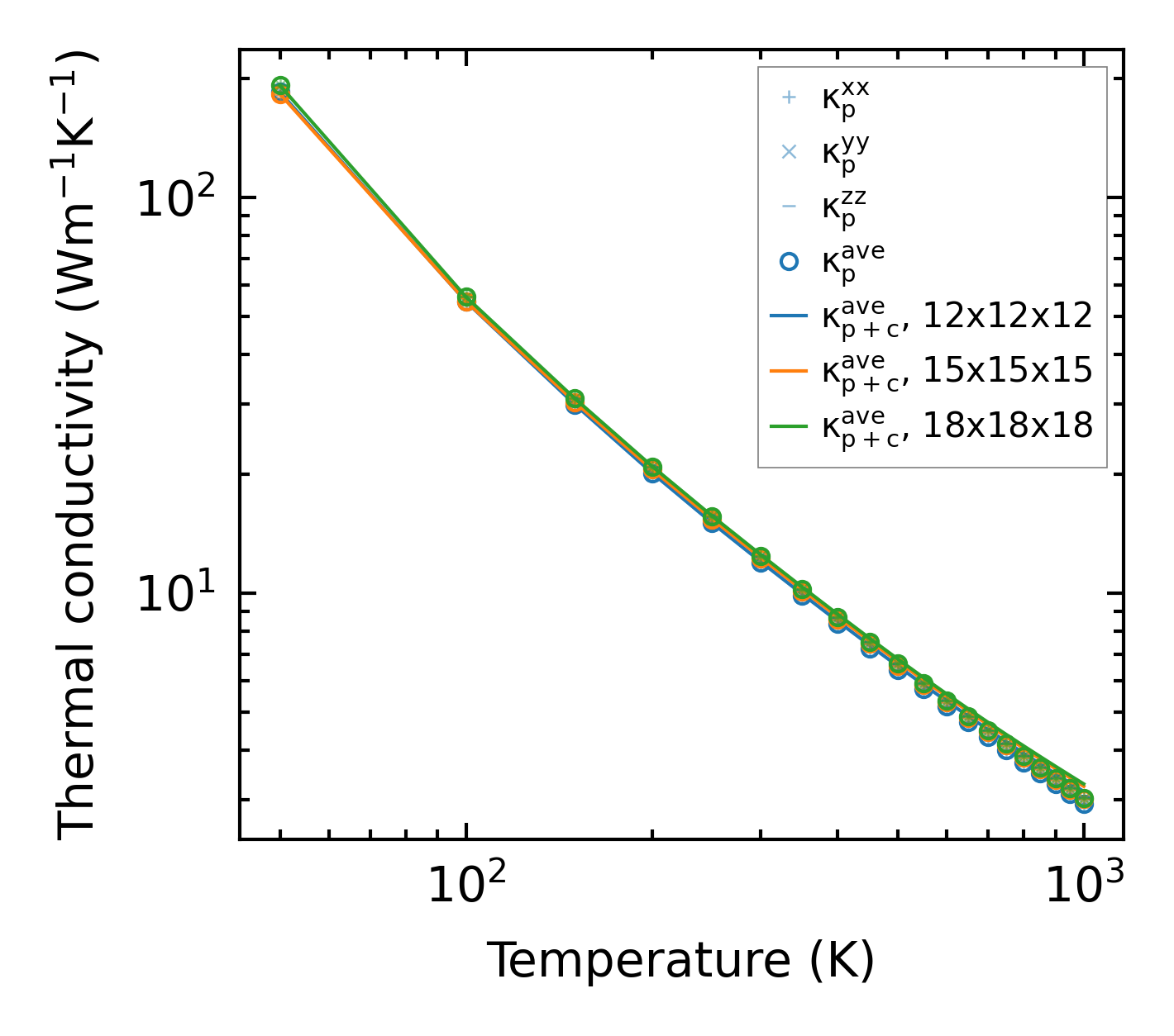
Thermal conductivity

3-phonon (LASSO) — q-mesh: 18x18x18, supercell: 3x3x3

../../_images/fig_kappa9746.png

(a) Temperature-dependent lattice thermal conductivity

../../_images/fig_kappa_vs_grain_size5242.png

(b) Peierls lattice thermal conductivity w.r.t grain size

Phonon lifetime and scattering rates

../../_images/fig_lifetime5129.png

(a) Phonon lifetime due to phonon-phonon scattering

../../_images/fig_scat_rates5128.png

(b) Phonon scattering rates

Cumulative and spectral thermal conductivity

../../_images/fig_cumu_frequency5129.png

(a) Spectral and cumulative thermal conductivity w.r.t frequency

../../_images/fig_cumu_mfp5128.png

(b) Spectral and cumulative thermal conductivity w.r.t MFP

Force constants

../../_images/fig_fc212178.png

(a) Force constants w.r.t atomic distance

Summary

../../_images/fig_kappa9747.png

(a) Temperature-dependent lattice thermal conductivity

../../_images/fig_times21206.png

(b) Computation time