mp-23127-2/Ba2BiSbO6/harm

Equation of state

../../_images/fig_bm6446.png

(a) Equation of state

Harmonic properties

../../_images/fig_bandos_pr12903.png

(a) Phonon dispersion with participation ratio and DOS

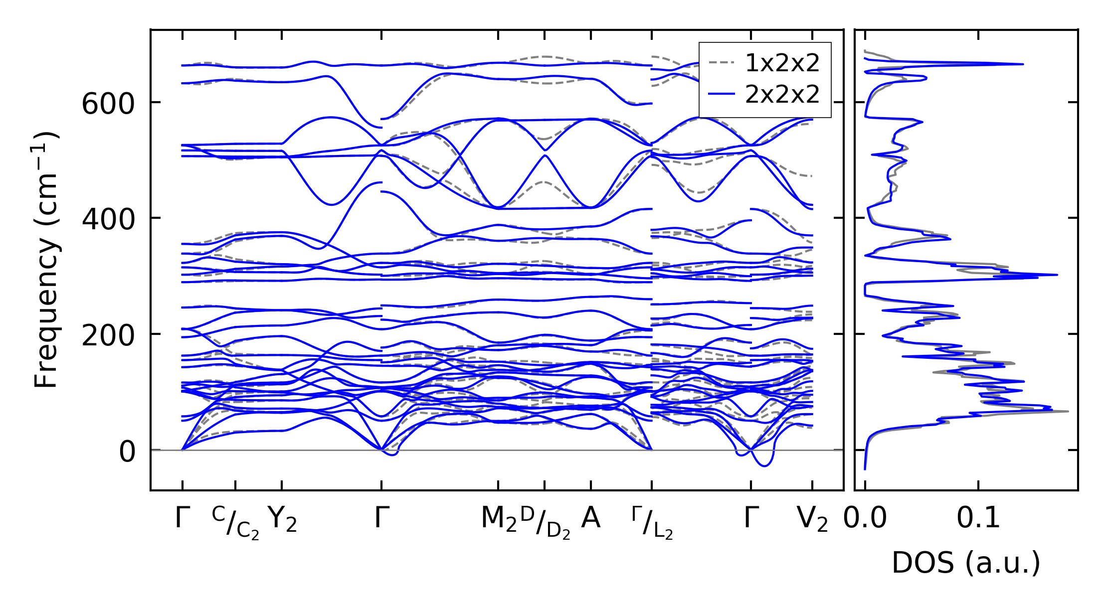
../../_images/fig_bandos17292.png

(b) Phonon dispersion and DOS

../../_images/fig_thermo12903.png

(c) Thermodynamic properties

Force constants

../../_images/fig_fc212599.png

(a) Force constants w.r.t atomic distance

Summary

../../_images/fig_times21841.png

(a) Computation time