mp-23734/MgPH7O7/anharm

Harmonic properties

../../_images/fig_bandos_pr12477.png

(a) Phonon dispersion with participation ratio and DOS

../../_images/fig_thermo12477.png

(b) Thermodynamic properties

Grüneisen parameters

../../_images/fig_gru_all5178.png

(a) Grüneisen parameters

../../_images/fig_gruneisen5178.png

(b) Phonon dispersion with Grüneisen parameters

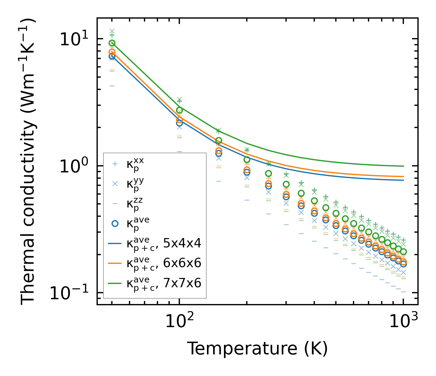
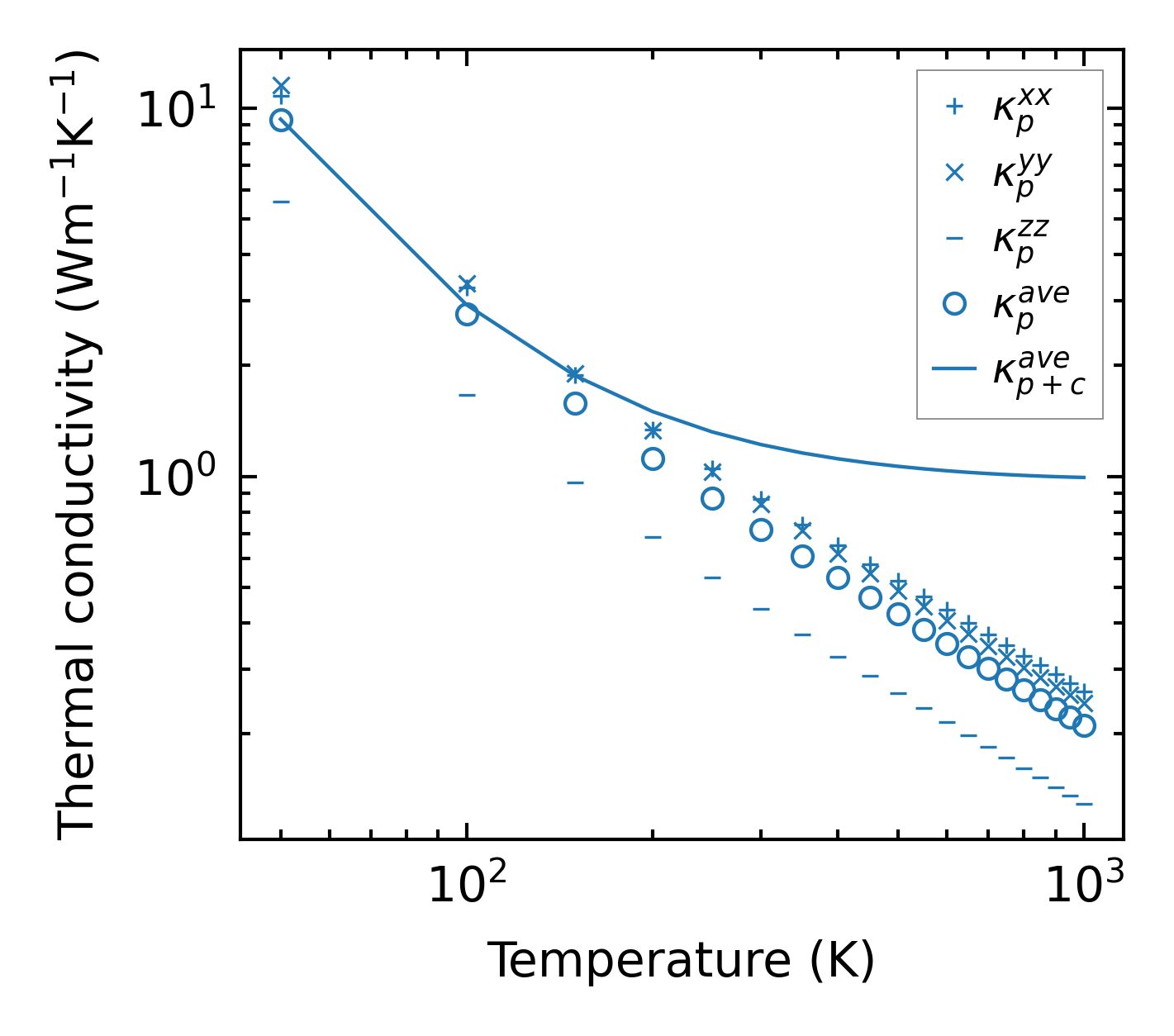
Thermal conductivity

3-phonon (LASSO) — q-mesh: 7x7x6, supercell: 1x1x1

../../_images/fig_kappa9742.png

(a) Temperature-dependent lattice thermal conductivity

../../_images/fig_kappa_vs_grain_size5240.png

(b) Peierls lattice thermal conductivity w.r.t grain size

Phonon lifetime and scattering rates

../../_images/fig_lifetime5127.png

(a) Phonon lifetime due to phonon-phonon scattering

../../_images/fig_scat_rates5126.png

(b) Phonon scattering rates

Cumulative and spectral thermal conductivity

../../_images/fig_cumu_frequency5127.png

(a) Spectral and cumulative thermal conductivity w.r.t frequency

../../_images/fig_cumu_mfp5126.png

(b) Spectral and cumulative thermal conductivity w.r.t MFP

Force constants

../../_images/fig_fc212176.png

(a) Force constants w.r.t atomic distance

Summary

../../_images/fig_kappa9743.png

(a) Temperature-dependent lattice thermal conductivity

../../_images/fig_times21204.png

(b) Computation time