mp-23720/BeAlH5/anharm

Harmonic properties

../../_images/fig_bandos_pr12474.png

(a) Phonon dispersion with participation ratio and DOS

../../_images/fig_thermo12474.png

(b) Thermodynamic properties

Grüneisen parameters

../../_images/fig_gru_all5175.png

(a) Grüneisen parameters

../../_images/fig_gruneisen5175.png

(b) Phonon dispersion with Grüneisen parameters

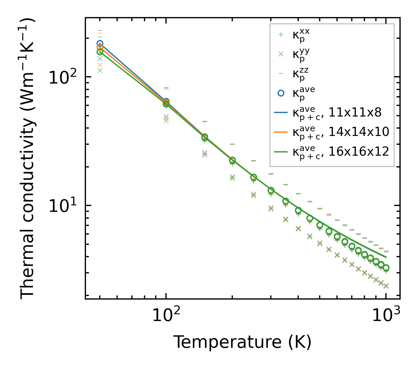
Thermal conductivity

3-phonon (LASSO) — q-mesh: 16x16x12, supercell: 2x1x2

../../_images/fig_kappa9735.png

(a) Temperature-dependent lattice thermal conductivity

../../_images/fig_kappa_vs_grain_size5236.png

(b) Peierls lattice thermal conductivity w.r.t grain size

Phonon lifetime and scattering rates

../../_images/fig_lifetime5124.png

(a) Phonon lifetime due to phonon-phonon scattering

../../_images/fig_scat_rates5123.png

(b) Phonon scattering rates

Cumulative and spectral thermal conductivity

../../_images/fig_cumu_frequency5124.png

(a) Spectral and cumulative thermal conductivity w.r.t frequency

../../_images/fig_cumu_mfp5123.png

(b) Spectral and cumulative thermal conductivity w.r.t MFP

Force constants

../../_images/fig_fc212173.png

(a) Force constants w.r.t atomic distance

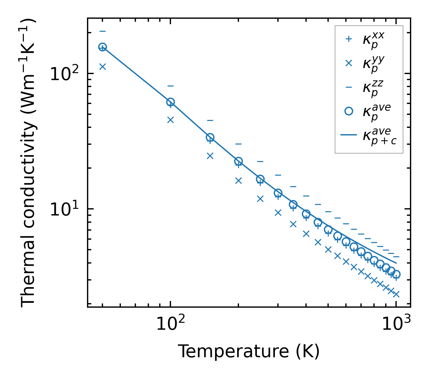
Summary

../../_images/fig_kappa9736.png

(a) Temperature-dependent lattice thermal conductivity

../../_images/fig_times21196.png

(b) Computation time