mp-23364/CsLiCl2/anharm

Harmonic properties

../../_images/fig_bandos_pr12643.png

(a) Phonon dispersion with participation ratio and DOS

../../_images/fig_thermo12643.png

(b) Thermodynamic properties

Grüneisen parameters

../../_images/fig_gru_all5235.png

(a) Grüneisen parameters

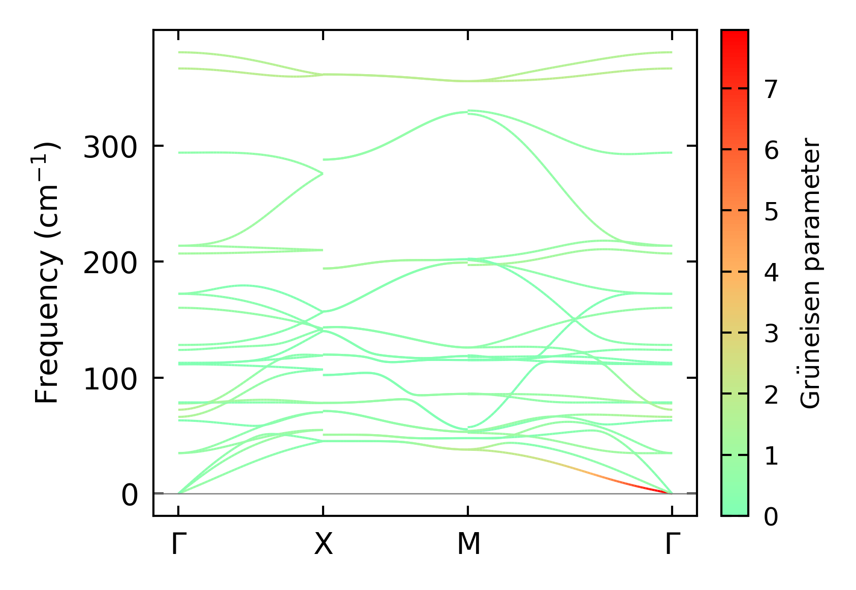
../../_images/fig_gruneisen5235.png

(b) Phonon dispersion with Grüneisen parameters

Thermal conductivity

3-phonon (LASSO) — q-mesh: 14x14x7, supercell: 3x3x2

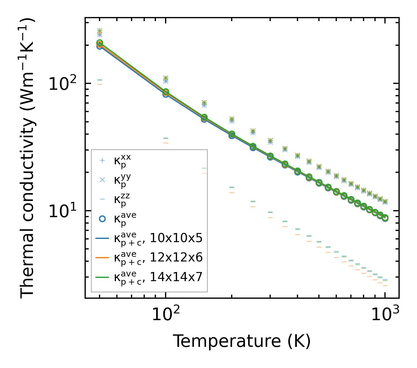
../../_images/fig_kappa9839.png

(a) Temperature-dependent lattice thermal conductivity

../../_images/fig_kappa_vs_grain_size5297.png

(b) Peierls lattice thermal conductivity w.r.t grain size

Phonon lifetime and scattering rates

../../_images/fig_lifetime5184.png

(a) Phonon lifetime due to phonon-phonon scattering

../../_images/fig_scat_rates5183.png

(b) Phonon scattering rates

Cumulative and spectral thermal conductivity

../../_images/fig_cumu_frequency5184.png

(a) Spectral and cumulative thermal conductivity w.r.t frequency

../../_images/fig_cumu_mfp5183.png

(b) Spectral and cumulative thermal conductivity w.r.t MFP

Force constants

../../_images/fig_fc212340.png

(a) Force constants w.r.t atomic distance

Summary

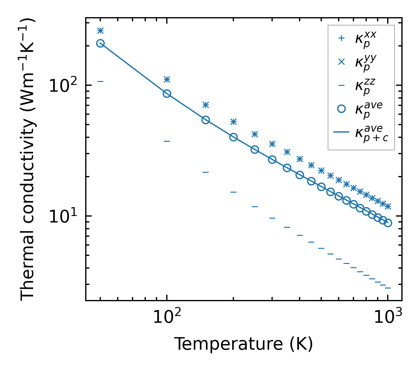
../../_images/fig_kappa9840.png

(a) Temperature-dependent lattice thermal conductivity

../../_images/fig_times21478.png

(b) Computation time