mp-23045/BNCl2/anharm

Equation of state

../../_images/fig_bm6412.png

(a) Equation of state

Harmonic properties

../../_images/fig_bandos_pr12841.png

(a) Phonon dispersion with participation ratio and DOS

../../_images/fig_bandos17232.png

(b) Phonon dispersion and DOS

../../_images/fig_thermo12841.png

(c) Thermodynamic properties

Grüneisen parameters

../../_images/fig_gru_all5322.png

(a) Grüneisen parameters

../../_images/fig_gruneisen5322.png

(b) Phonon dispersion with Grüneisen parameters

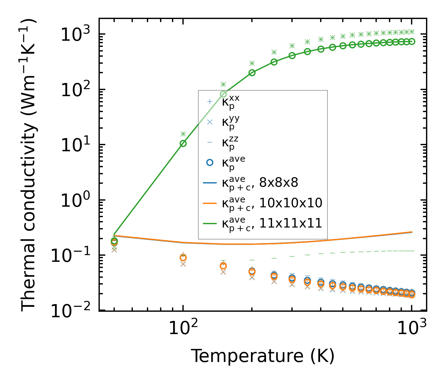
Thermal conductivity

3-phonon (LASSO) — q-mesh: 11x11x11, supercell: 2x2x1

../../_images/fig_kappa9999.png

(a) Temperature-dependent lattice thermal conductivity

../../_images/fig_kappa_vs_grain_size5386.png

(b) Peierls lattice thermal conductivity w.r.t grain size

Phonon lifetime and scattering rates

../../_images/fig_lifetime5271.png

(a) Phonon lifetime due to phonon-phonon scattering

../../_images/fig_scat_rates5270.png

(b) Phonon scattering rates

Cumulative and spectral thermal conductivity

../../_images/fig_cumu_frequency5271.png

(a) Spectral and cumulative thermal conductivity w.r.t frequency

../../_images/fig_cumu_mfp5270.png

(b) Spectral and cumulative thermal conductivity w.r.t MFP

Force constants

../../_images/fig_fc212537.png

(a) Force constants w.r.t atomic distance

Summary

../../_images/fig_kappa10000.png

(a) Temperature-dependent lattice thermal conductivity

../../_images/fig_times21757.png

(b) Computation time