mp-23700-2/RbH2OF/anharm

Equation of state

../../_images/fig_bm6394.png

(a) Equation of state

Harmonic properties

../../_images/fig_bandos_pr12804.png

(a) Phonon dispersion with participation ratio and DOS

../../_images/fig_bandos17198.png

(b) Phonon dispersion and DOS

../../_images/fig_thermo12804.png

(c) Thermodynamic properties

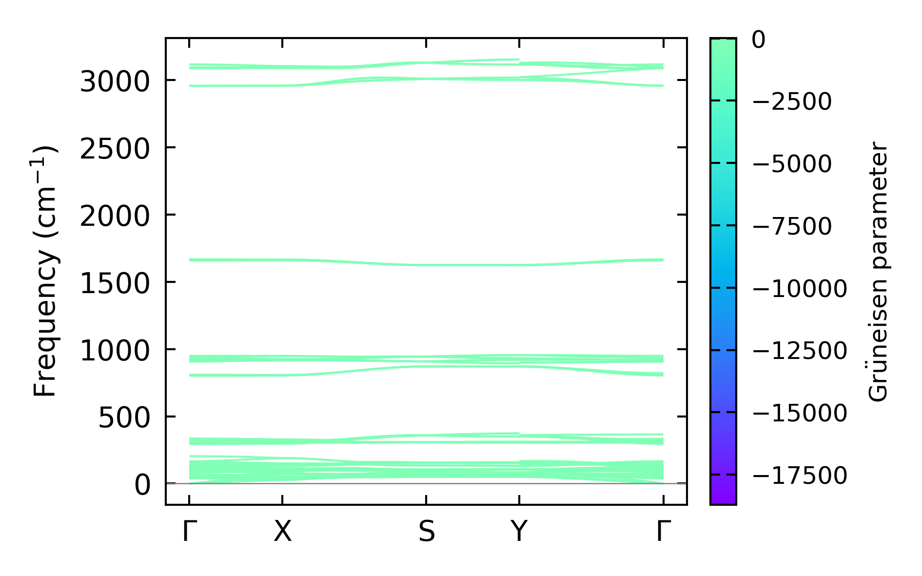
Grüneisen parameters

../../_images/fig_gru_all5308.png

(a) Grüneisen parameters

../../_images/fig_gruneisen5308.png

(b) Phonon dispersion with Grüneisen parameters

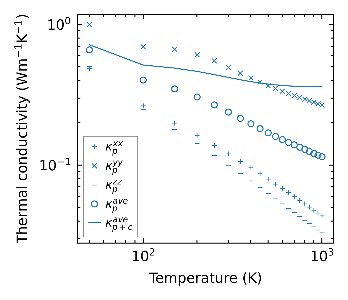
Thermal conductivity

3-phonon (LASSO), supercell 2x3x2 — q-mesh: 9x17x8, supercell: 2x3x2

../../_images/fig_kappa9972.png

(a) Temperature-dependent lattice thermal conductivity

../../_images/fig_kappa_vs_grain_size5371.png

(b) Peierls lattice thermal conductivity w.r.t grain size

Phonon lifetime and scattering rates

../../_images/fig_lifetime5257.png

(a) Phonon lifetime due to phonon-phonon scattering

../../_images/fig_scat_rates5256.png

(b) Phonon scattering rates

Cumulative and spectral thermal conductivity

../../_images/fig_cumu_frequency5257.png

(a) Spectral and cumulative thermal conductivity w.r.t frequency

../../_images/fig_cumu_mfp5256.png

(b) Spectral and cumulative thermal conductivity w.r.t MFP

Force constants

../../_images/fig_fc212500.png

(a) Force constants w.r.t atomic distance

Summary

../../_images/fig_times21713.png

(a) Computation time