mp-23122/Li10B14Cl2O25/anharm

Equation of state

../../_images/fig_bm6443.png

(a) Equation of state

Harmonic properties

../../_images/fig_bandos_pr12896.png

(a) Phonon dispersion with participation ratio and DOS

../../_images/fig_thermo12896.png

(b) Thermodynamic properties

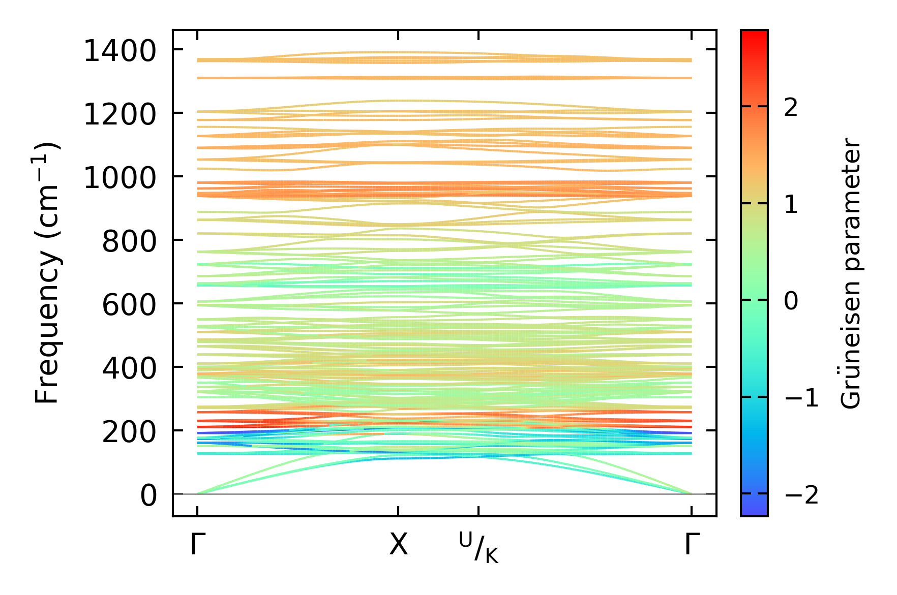
Grüneisen parameters

../../_images/fig_gru_all5352.png

(a) Grüneisen parameters

../../_images/fig_gruneisen5352.png

(b) Phonon dispersion with Grüneisen parameters

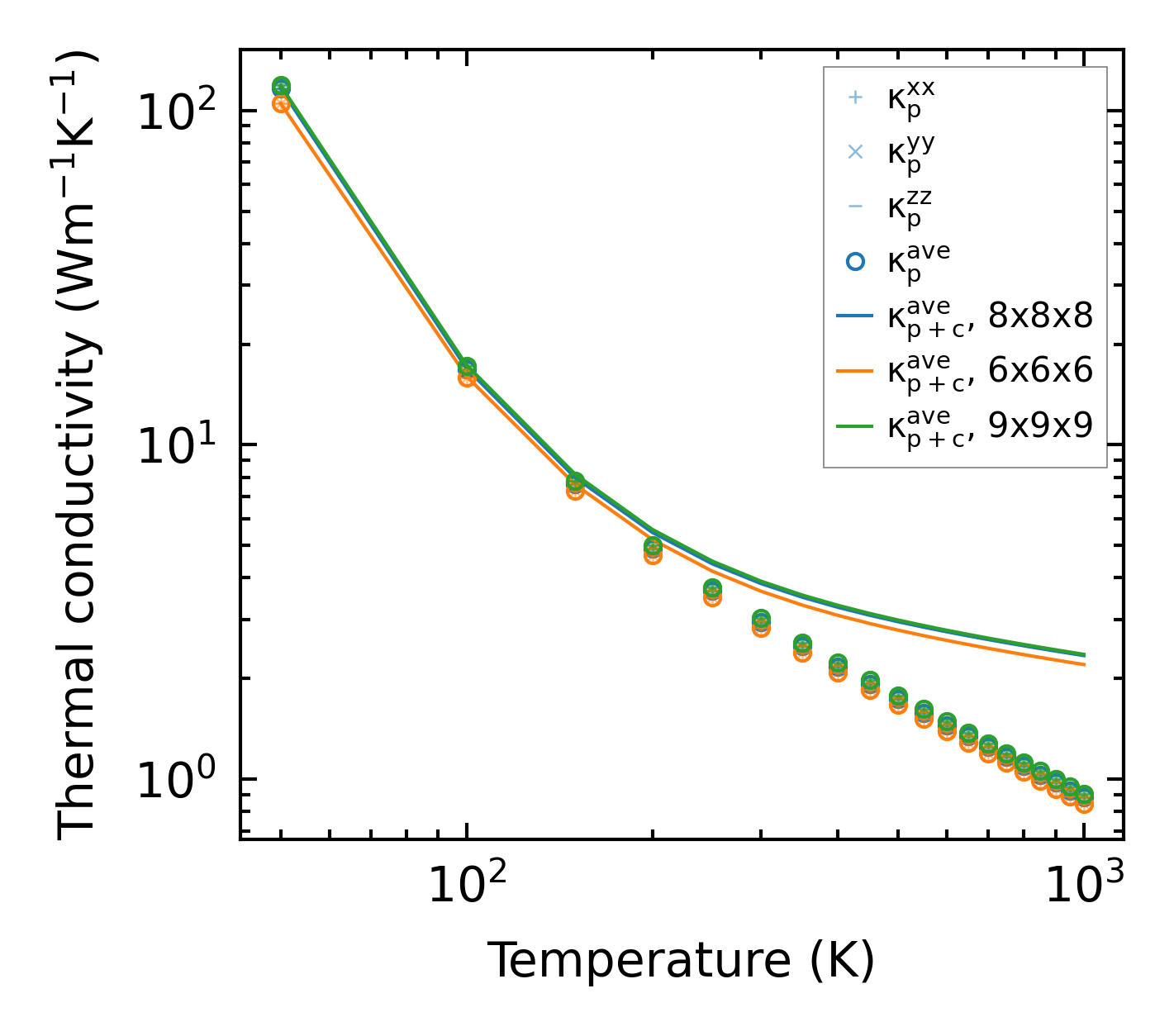
Thermal conductivity

3-phonon (LASSO) — q-mesh: 9x9x9, supercell: 1x1x1

../../_images/fig_kappa10054.png

(a) Temperature-dependent lattice thermal conductivity

../../_images/fig_kappa_vs_grain_size5417.png

(b) Peierls lattice thermal conductivity w.r.t grain size

Phonon lifetime and scattering rates

../../_images/fig_lifetime5301.png

(a) Phonon lifetime due to phonon-phonon scattering

../../_images/fig_scat_rates5300.png

(b) Phonon scattering rates

Cumulative and spectral thermal conductivity

../../_images/fig_cumu_frequency5301.png

(a) Spectral and cumulative thermal conductivity w.r.t frequency

../../_images/fig_cumu_mfp5300.png

(b) Spectral and cumulative thermal conductivity w.r.t MFP

Force constants

../../_images/fig_fc212592.png

(a) Force constants w.r.t atomic distance

Summary

../../_images/fig_kappa10055.png

(a) Temperature-dependent lattice thermal conductivity

../../_images/fig_times21834.png

(b) Computation time