mp-23045-2/BNCl2/anharm

Harmonic properties

../../_images/fig_bandos_pr12842.png

(a) Phonon dispersion with participation ratio and DOS

../../_images/fig_bandos17233.png

(b) Phonon dispersion and DOS

../../_images/fig_thermo12842.png

(c) Thermodynamic properties

Grüneisen parameters

../../_images/fig_gru_all5323.png

(a) Grüneisen parameters

../../_images/fig_gruneisen5323.png

(b) Phonon dispersion with Grüneisen parameters

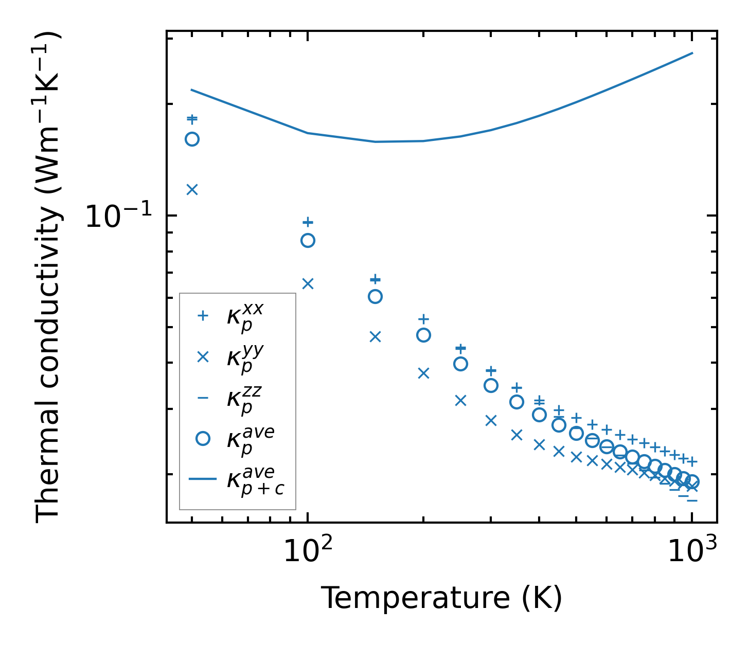
Thermal conductivity

3-phonon (LASSO) — q-mesh: 11x11x11, supercell: 2x2x1

../../_images/fig_kappa10001.png

(a) Temperature-dependent lattice thermal conductivity

../../_images/fig_kappa_vs_grain_size5387.png

(b) Peierls lattice thermal conductivity w.r.t grain size

Phonon lifetime and scattering rates

../../_images/fig_lifetime5272.png

(a) Phonon lifetime due to phonon-phonon scattering

../../_images/fig_scat_rates5271.png

(b) Phonon scattering rates

Cumulative and spectral thermal conductivity

../../_images/fig_cumu_frequency5272.png

(a) Spectral and cumulative thermal conductivity w.r.t frequency

../../_images/fig_cumu_mfp5271.png

(b) Spectral and cumulative thermal conductivity w.r.t MFP

Force constants

../../_images/fig_fc212538.png

(a) Force constants w.r.t atomic distance

Summary

../../_images/fig_kappa10002.png

(a) Temperature-dependent lattice thermal conductivity

../../_images/fig_times21758.png

(b) Computation time