mp-23303/RbBr/anharm

Harmonic properties

../../_images/fig_bandos_pr12987.png

(a) Phonon dispersion with participation ratio and DOS

../../_images/fig_thermo12987.png

(b) Thermodynamic properties

Grüneisen parameters

../../_images/fig_gru_all5405.png

(a) Grüneisen parameters

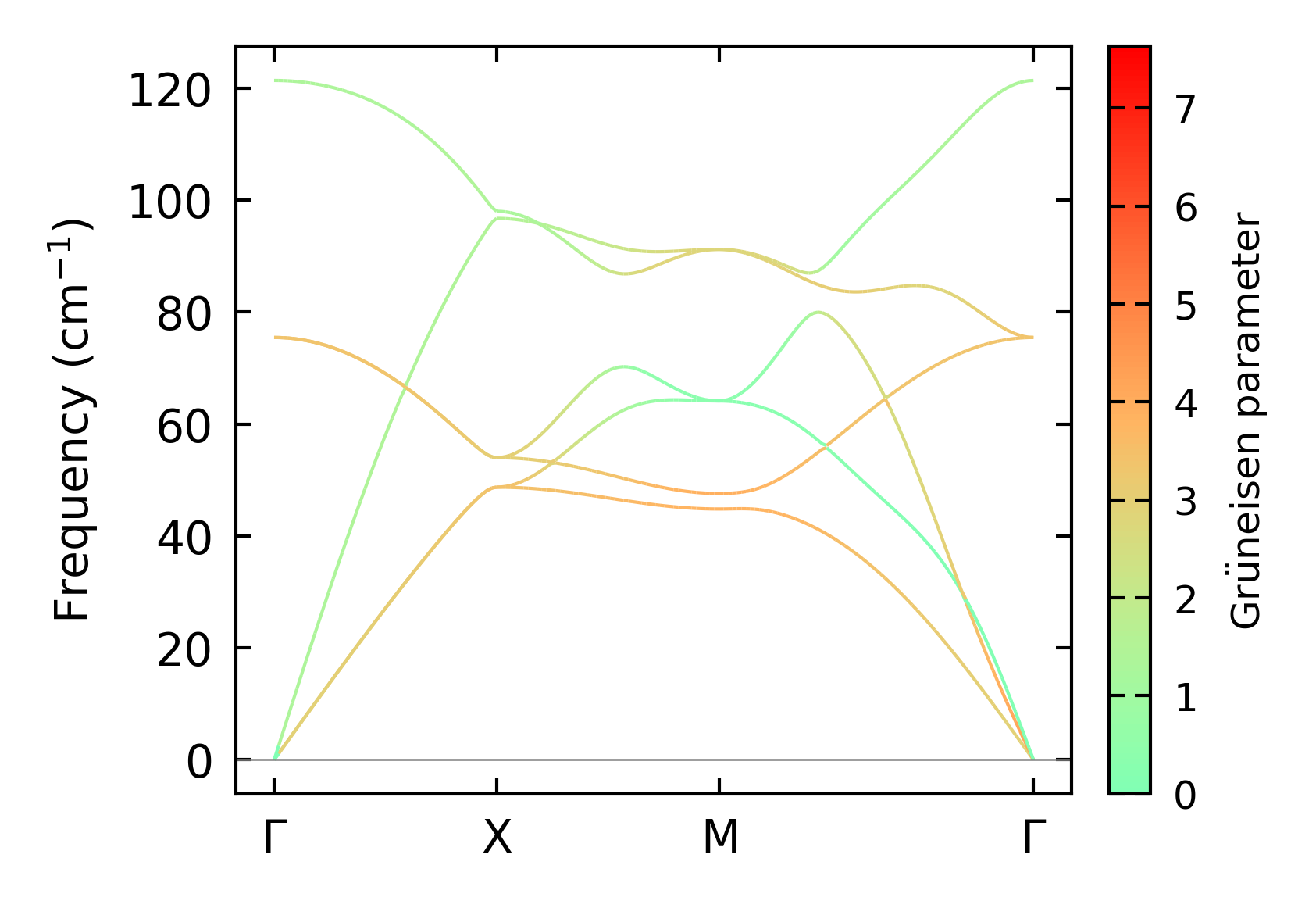
../../_images/fig_gruneisen5405.png

(b) Phonon dispersion with Grüneisen parameters

Thermal conductivity

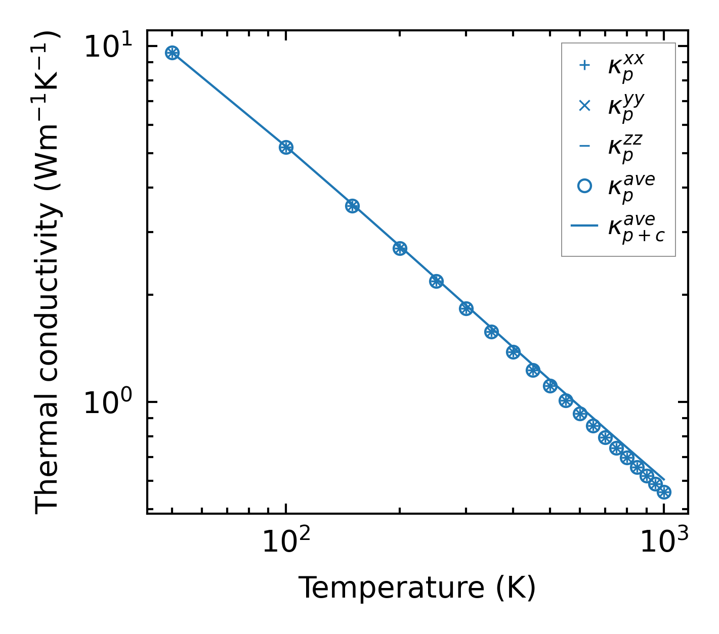
3-phonon — q-mesh: 17x17x17, supercell: 4x4x4

../../_images/fig_kappa10154.png

(a) Temperature-dependent lattice thermal conductivity

../../_images/fig_kappa_vs_grain_size5469.png

(b) Peierls lattice thermal conductivity w.r.t grain size

Phonon lifetime and scattering rates

../../_images/fig_lifetime5353.png

(a) Phonon lifetime due to phonon-phonon scattering

../../_images/fig_scat_rates5352.png

(b) Phonon scattering rates

Cumulative and spectral thermal conductivity

../../_images/fig_cumu_frequency5353.png

(a) Spectral and cumulative thermal conductivity w.r.t frequency

../../_images/fig_cumu_mfp5352.png

(b) Spectral and cumulative thermal conductivity w.r.t MFP

Force constants

../../_images/fig_fc3319.png

(a) Force constants w.r.t atomic distance

Summary

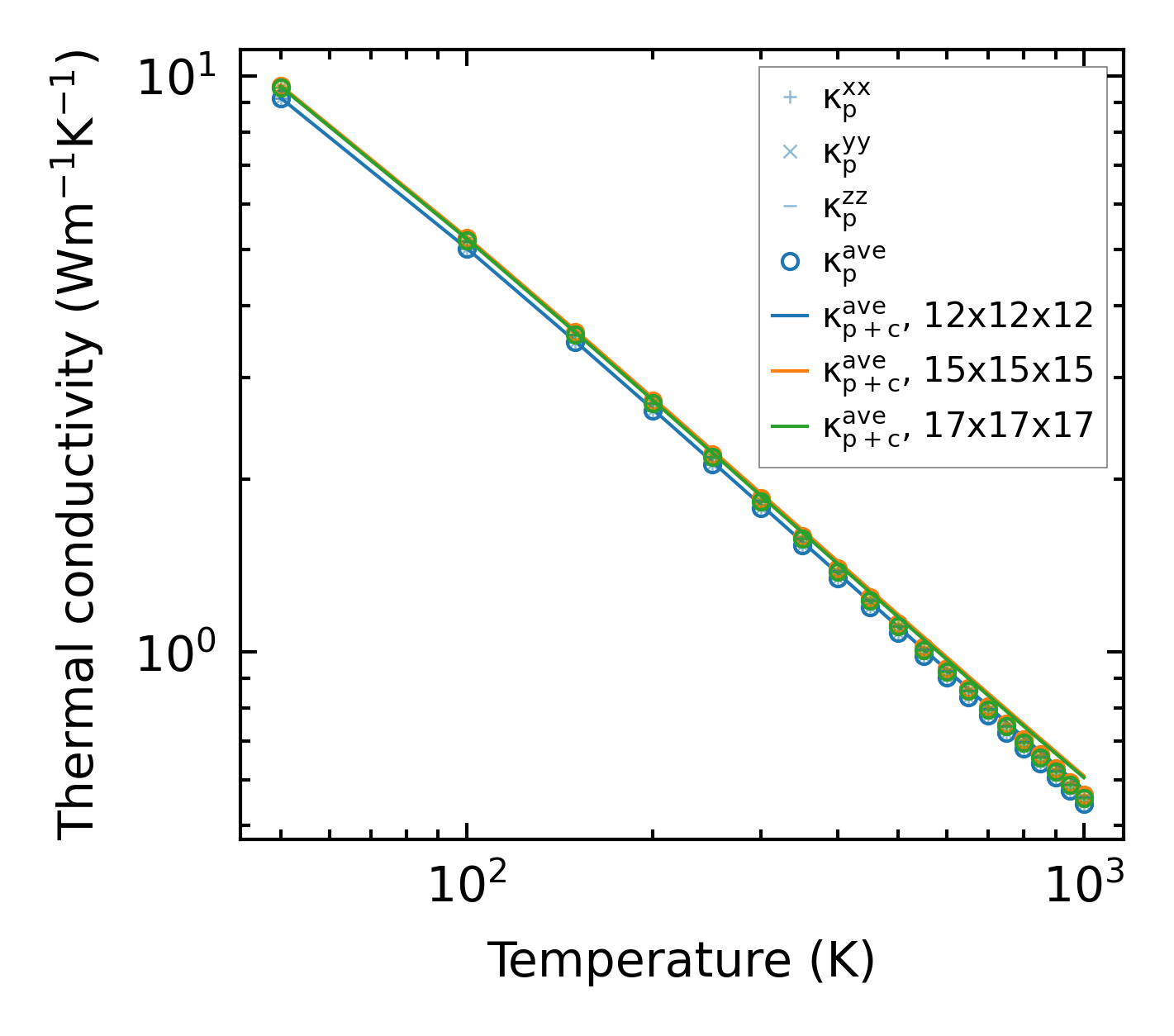
../../_images/fig_kappa10155.png

(a) Temperature-dependent lattice thermal conductivity

../../_images/fig_times21962.png

(b) Computation time