mp-23263/LaBr3/anharm

Harmonic properties

../../_images/fig_bandos_pr12969.png

(a) Phonon dispersion with participation ratio and DOS

../../_images/fig_thermo12969.png

(b) Thermodynamic properties

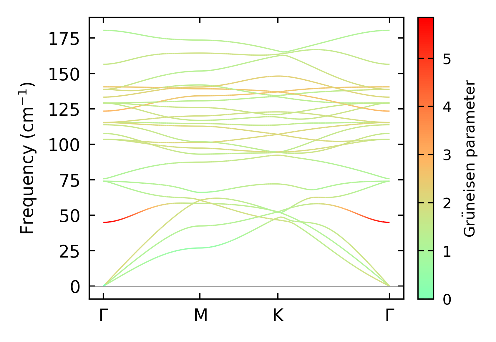
Grüneisen parameters

../../_images/fig_gru_all5393.png

(a) Grüneisen parameters

../../_images/fig_gruneisen5393.png

(b) Phonon dispersion with Grüneisen parameters

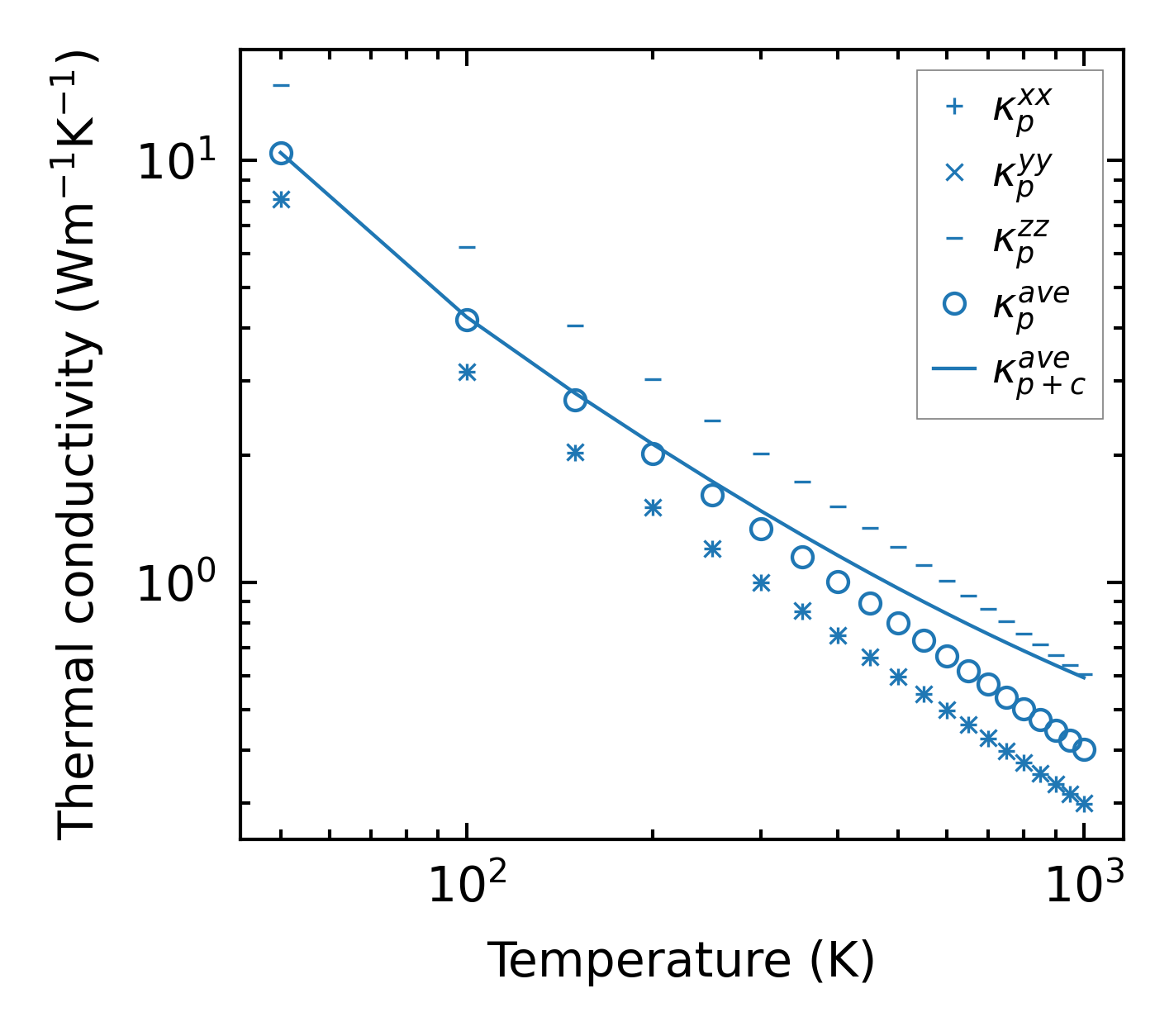
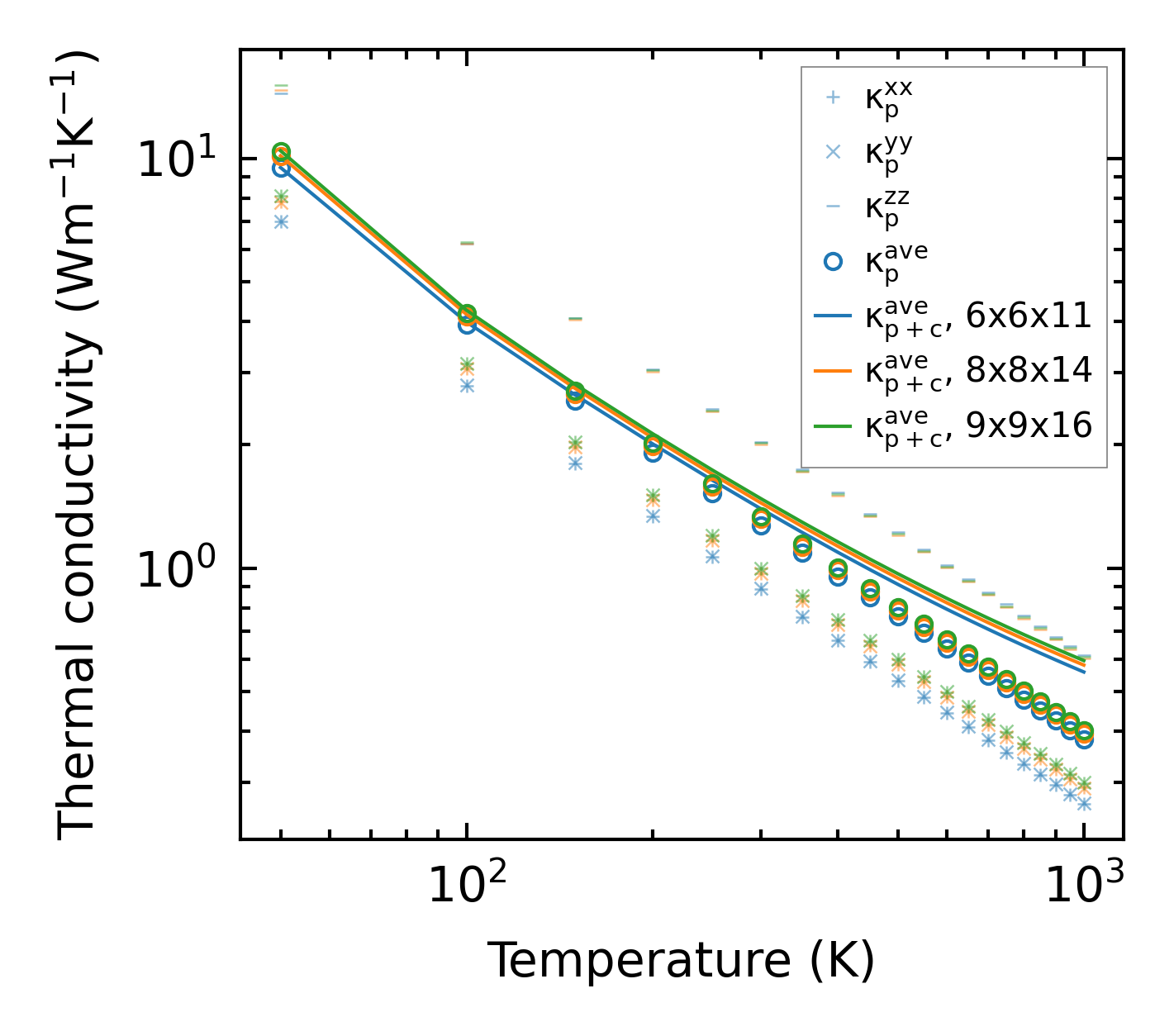
Thermal conductivity

3-phonon (LASSO) — q-mesh: 9x9x16, supercell: 2x2x4

../../_images/fig_kappa10131.png

(a) Temperature-dependent lattice thermal conductivity

../../_images/fig_kappa_vs_grain_size5457.png

(b) Peierls lattice thermal conductivity w.r.t grain size

Phonon lifetime and scattering rates

../../_images/fig_lifetime5341.png

(a) Phonon lifetime due to phonon-phonon scattering

../../_images/fig_scat_rates5340.png

(b) Phonon scattering rates

Cumulative and spectral thermal conductivity

../../_images/fig_cumu_frequency5341.png

(a) Spectral and cumulative thermal conductivity w.r.t frequency

../../_images/fig_cumu_mfp5340.png

(b) Spectral and cumulative thermal conductivity w.r.t MFP

Force constants

../../_images/fig_fc212657.png

(a) Force constants w.r.t atomic distance

Summary

../../_images/fig_kappa10132.png

(a) Temperature-dependent lattice thermal conductivity

../../_images/fig_times21936.png

(b) Computation time