mp-23810/BaAsHO4/anharm

Harmonic properties

../../_images/fig_bandos_pr12507.png

(a) Phonon dispersion with participation ratio and DOS

../../_images/fig_thermo12507.png

(b) Thermodynamic properties

Grüneisen parameters

../../_images/fig_gru_all5194.png

(a) Grüneisen parameters

../../_images/fig_gruneisen5194.png

(b) Phonon dispersion with Grüneisen parameters

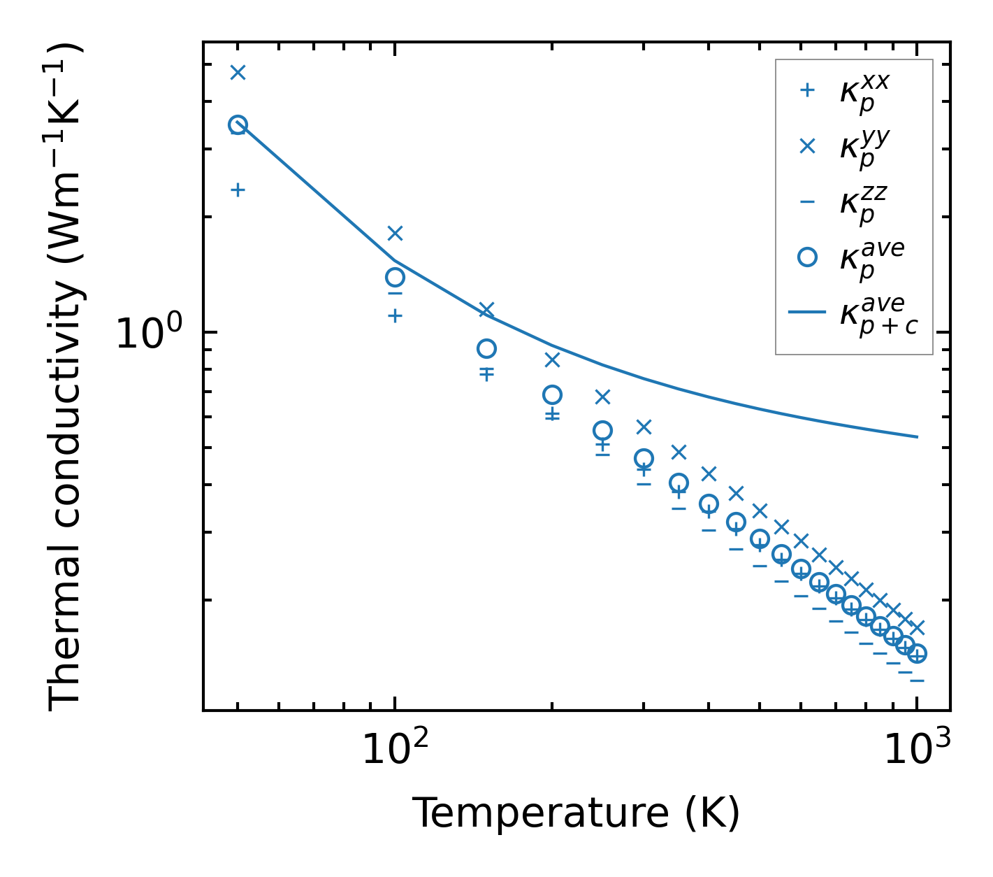
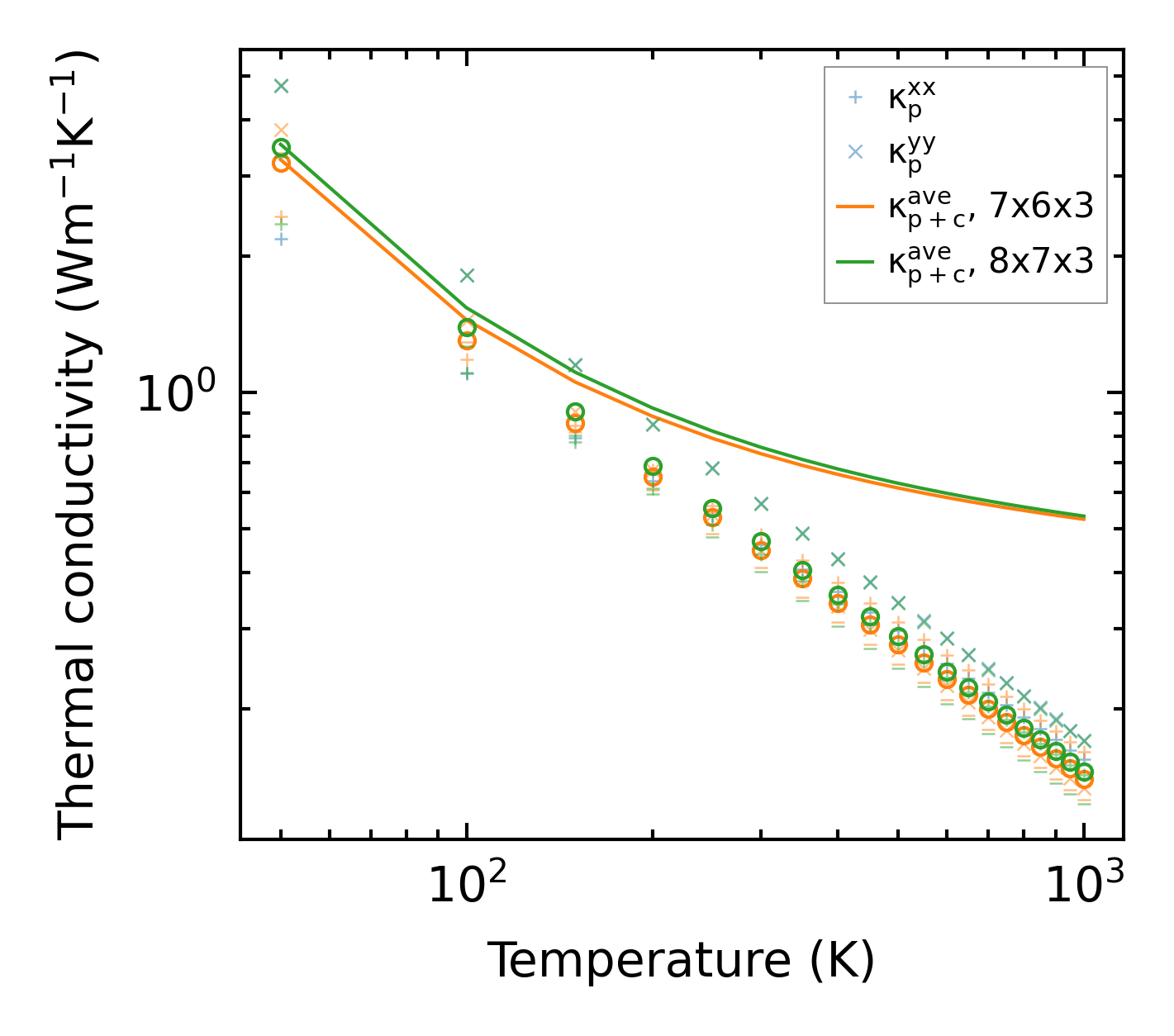
Thermal conductivity

3-phonon (LASSO) — q-mesh: 8x7x3, supercell: 1x1x1

../../_images/fig_kappa9769.png

(a) Temperature-dependent lattice thermal conductivity

../../_images/fig_kappa_vs_grain_size5256.png

(b) Peierls lattice thermal conductivity w.r.t grain size

Phonon lifetime and scattering rates

../../_images/fig_lifetime5143.png

(a) Phonon lifetime due to phonon-phonon scattering

../../_images/fig_scat_rates5142.png

(b) Phonon scattering rates

Cumulative and spectral thermal conductivity

../../_images/fig_cumu_frequency5143.png

(a) Spectral and cumulative thermal conductivity w.r.t frequency

../../_images/fig_cumu_mfp5142.png

(b) Spectral and cumulative thermal conductivity w.r.t MFP

Force constants

../../_images/fig_fc212206.png

(a) Force constants w.r.t atomic distance

Summary

../../_images/fig_kappa9770.png

(a) Temperature-dependent lattice thermal conductivity

../../_images/fig_times21267.png

(b) Computation time