mp-23181/SrI2/anharm

Harmonic properties

../../_images/fig_bandos_pr12934.png

(a) Phonon dispersion with participation ratio and DOS

../../_images/fig_thermo12934.png

(b) Thermodynamic properties

Grüneisen parameters

../../_images/fig_gru_all5369.png

(a) Grüneisen parameters

../../_images/fig_gruneisen5369.png

(b) Phonon dispersion with Grüneisen parameters

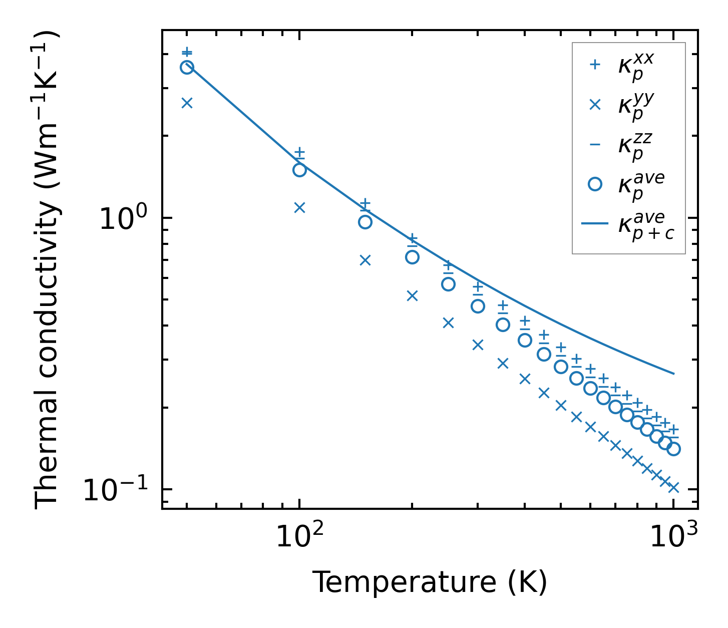
Thermal conductivity

3-phonon (LASSO) — q-mesh: 9x4x8, supercell: 2x1x2

../../_images/fig_kappa10085.png

(a) Temperature-dependent lattice thermal conductivity

../../_images/fig_kappa_vs_grain_size5433.png

(b) Peierls lattice thermal conductivity w.r.t grain size

Phonon lifetime and scattering rates

../../_images/fig_lifetime5317.png

(a) Phonon lifetime due to phonon-phonon scattering

../../_images/fig_scat_rates5316.png

(b) Phonon scattering rates

Cumulative and spectral thermal conductivity

../../_images/fig_cumu_frequency5317.png

(a) Spectral and cumulative thermal conductivity w.r.t frequency

../../_images/fig_cumu_mfp5316.png

(b) Spectral and cumulative thermal conductivity w.r.t MFP

Force constants

../../_images/fig_fc212627.png

(a) Force constants w.r.t atomic distance

Summary

../../_images/fig_kappa10086.png

(a) Temperature-dependent lattice thermal conductivity

../../_images/fig_times21887.png

(b) Computation time