mp-9984-2/SnS2/anharm

Equation of state

../../_images/fig_bm452.png

(a) Equation of state

Harmonic properties

../../_images/fig_bandos_pr1288.png

(a) Phonon dispersion with participation ratio and DOS

../../_images/fig_bandos1198.png

(b) Phonon dispersion and DOS

../../_images/fig_thermo1288.png

(c) Thermodynamic properties

Grüneisen parameters

../../_images/fig_gru_all794.png

(a) Grüneisen parameters

../../_images/fig_gruneisen794.png

(b) Phonon dispersion with Grüneisen parameters

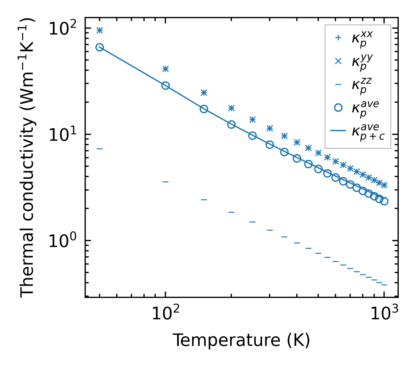
Thermal conductivity

3-phonon (LASSO) — q-mesh: 20x20x6, supercell: 4x4x1

../../_images/fig_kappa1542.png

(a) Temperature-dependent lattice thermal conductivity

../../_images/fig_kappa_vs_grain_size802.png

(b) Peierls lattice thermal conductivity w.r.t grain size

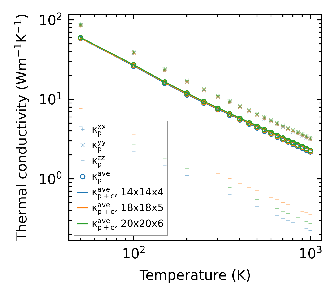
3-phonon (LASSO), supercell 4x4x2 — q-mesh: 20x20x6, supercell: 4x4x2

../../_images/fig_kappa1543.png

(a) Temperature-dependent lattice thermal conductivity

../../_images/fig_kappa_vs_grain_size803.png

(b) Peierls lattice thermal conductivity w.r.t grain size

Phonon lifetime and scattering rates

../../_images/fig_lifetime788.png

(a) Phonon lifetime due to phonon-phonon scattering

../../_images/fig_scat_rates787.png

(b) Phonon scattering rates

Cumulative and spectral thermal conductivity

../../_images/fig_cumu_frequency788.png

(a) Spectral and cumulative thermal conductivity w.r.t frequency

../../_images/fig_cumu_mfp788.png

(b) Spectral and cumulative thermal conductivity w.r.t MFP

Force constants

../../_images/fig_fc21154.png

(a) Force constants w.r.t atomic distance

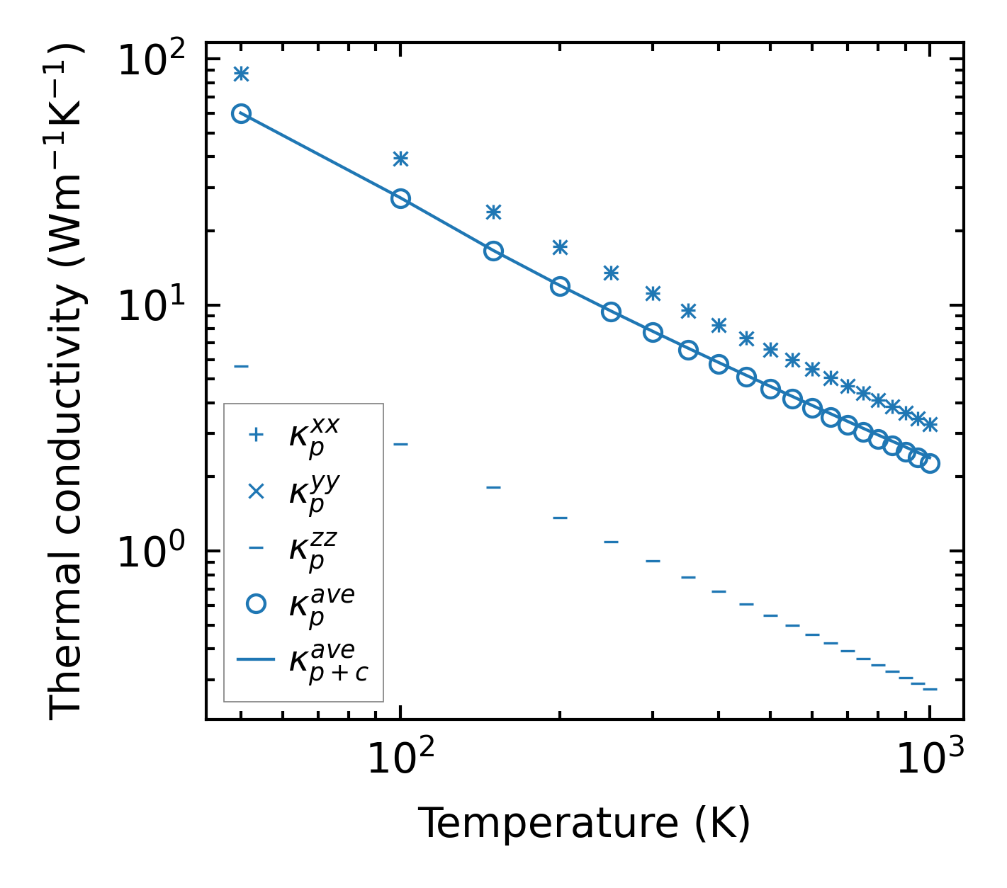
Summary

../../_images/fig_kappa1544.png

(a) Temperature-dependent lattice thermal conductivity

../../_images/fig_times1925.png

(b) Computation time