mp-9321-2/Ba2HfS4/harm

Equation of state

../../_images/fig_bm513.png

(a) Equation of state

Harmonic properties

../../_images/fig_bandos_pr1437.png

(a) Phonon dispersion with participation ratio and DOS

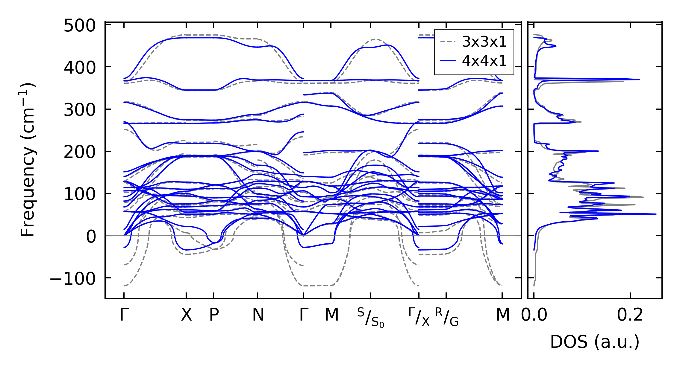
../../_images/fig_bandos1340.png

(b) Phonon dispersion and DOS

../../_images/fig_thermo1437.png

(c) Thermodynamic properties

Force constants

../../_images/fig_fc21289.png

(a) Force constants w.r.t atomic distance

Summary

../../_images/fig_times2151.png

(a) Computation time