mp-9665-2/K3BAs2/anharm

Harmonic properties

../../_images/fig_bandos_pr1181.png

(a) Phonon dispersion with participation ratio and DOS

../../_images/fig_thermo1181.png

(b) Thermodynamic properties

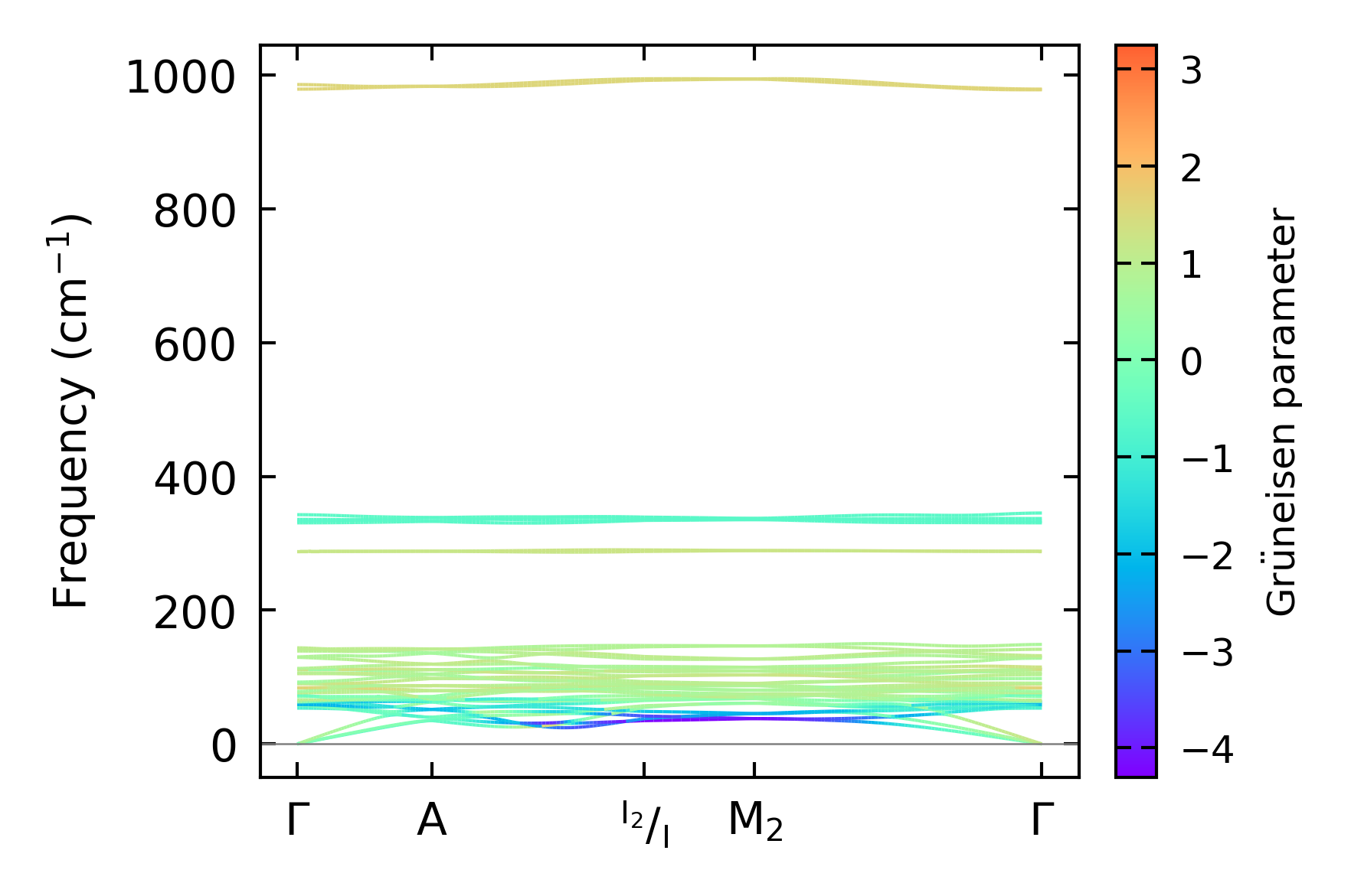
Grüneisen parameters

../../_images/fig_gru_all732.png

(a) Grüneisen parameters

../../_images/fig_gruneisen732.png

(b) Phonon dispersion with Grüneisen parameters

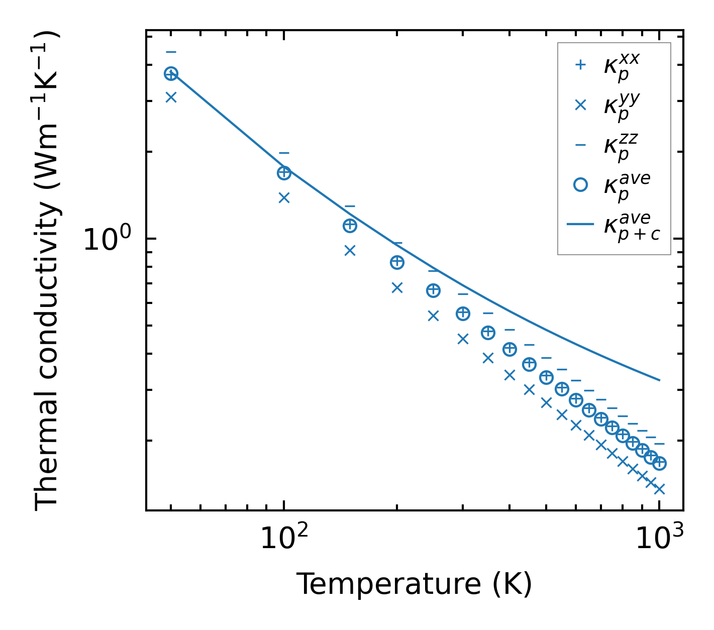
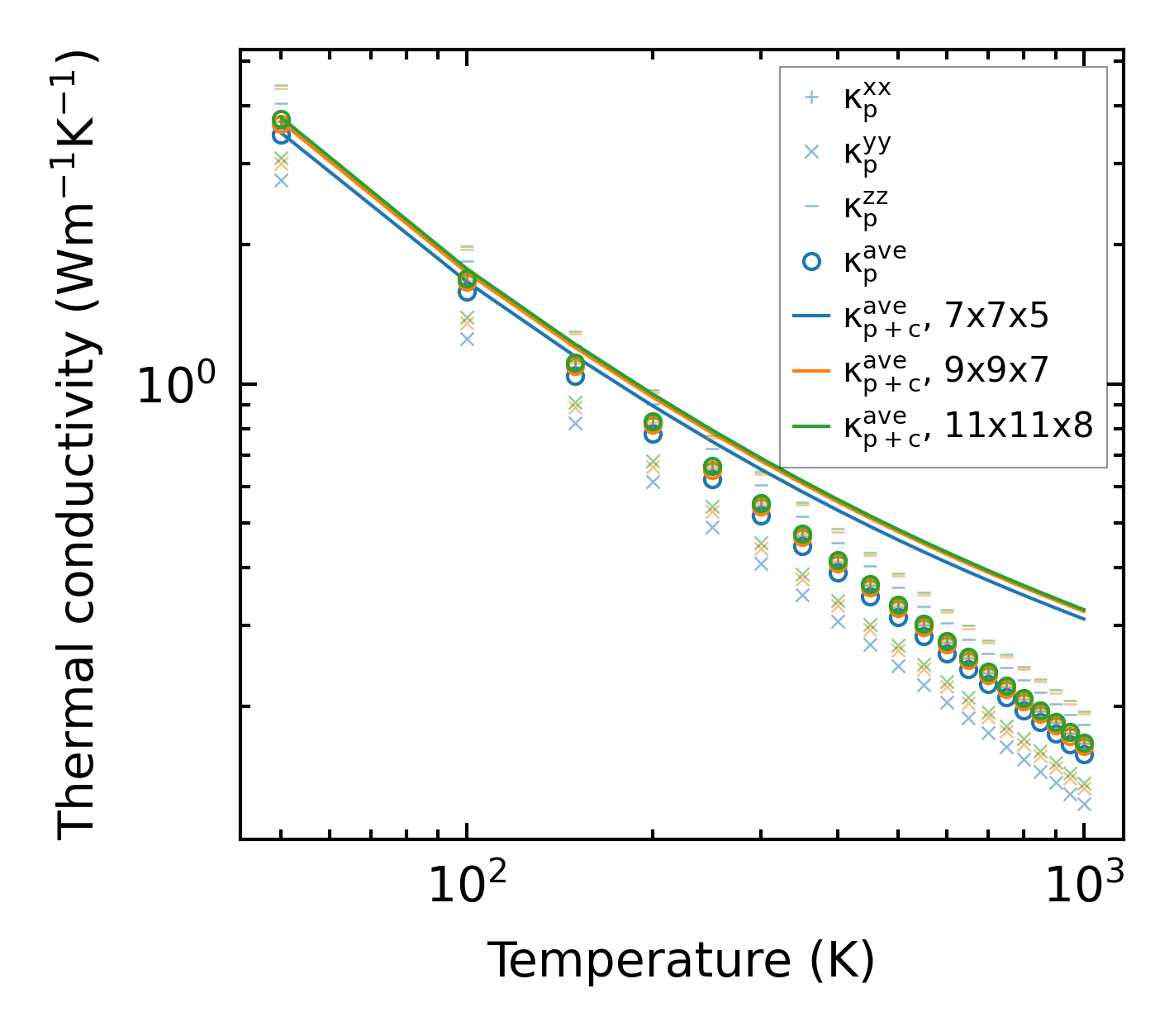
Thermal conductivity

3-phonon (LASSO) — q-mesh: 11x11x8, supercell: 1x2x2

../../_images/fig_kappa1429.png

(a) Temperature-dependent lattice thermal conductivity

../../_images/fig_kappa_vs_grain_size741.png

(b) Peierls lattice thermal conductivity w.r.t grain size

Phonon lifetime and scattering rates

../../_images/fig_lifetime729.png

(a) Phonon lifetime due to phonon-phonon scattering

../../_images/fig_scat_rates728.png

(b) Phonon scattering rates

Cumulative and spectral thermal conductivity

../../_images/fig_cumu_frequency729.png

(a) Spectral and cumulative thermal conductivity w.r.t frequency

../../_images/fig_cumu_mfp729.png

(b) Spectral and cumulative thermal conductivity w.r.t MFP

Force constants

../../_images/fig_fc21047.png

(a) Force constants w.r.t atomic distance

Summary

../../_images/fig_kappa1430.png

(a) Temperature-dependent lattice thermal conductivity

../../_images/fig_times1773.png

(b) Computation time