mp-9619-2/ThFe4P12/anharm

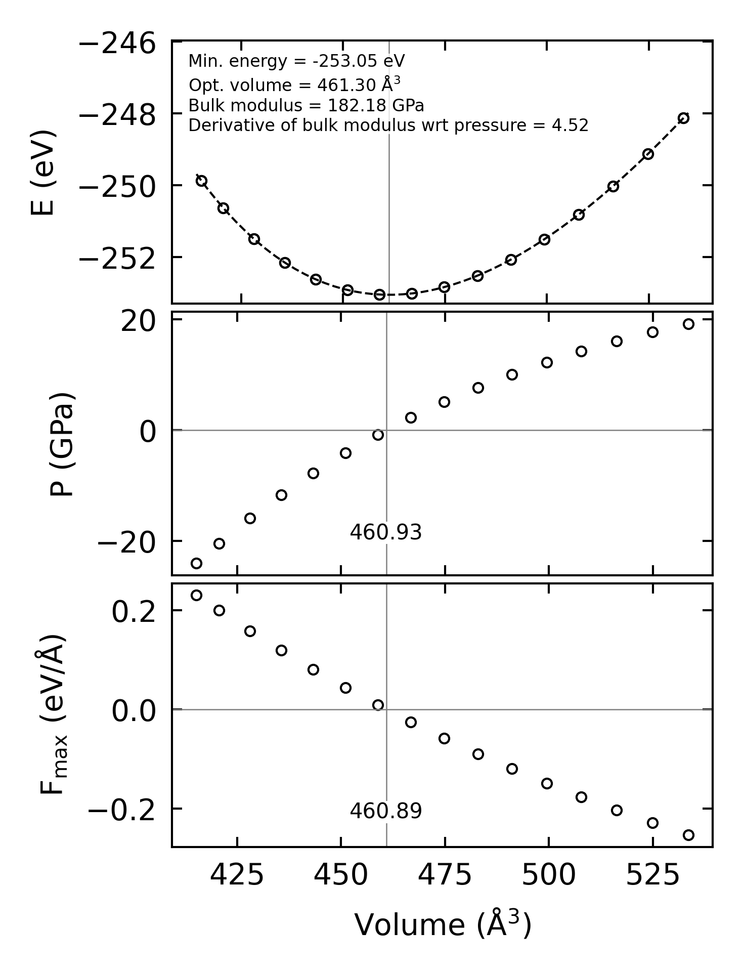
Equation of state

../../_images/fig_bm388.png

(a) Equation of state

Harmonic properties

../../_images/fig_bandos_pr1167.png

(a) Phonon dispersion with participation ratio and DOS

../../_images/fig_thermo1167.png

(b) Thermodynamic properties

Grüneisen parameters

../../_images/fig_gru_all722.png

(a) Grüneisen parameters

../../_images/fig_gruneisen722.png

(b) Phonon dispersion with Grüneisen parameters

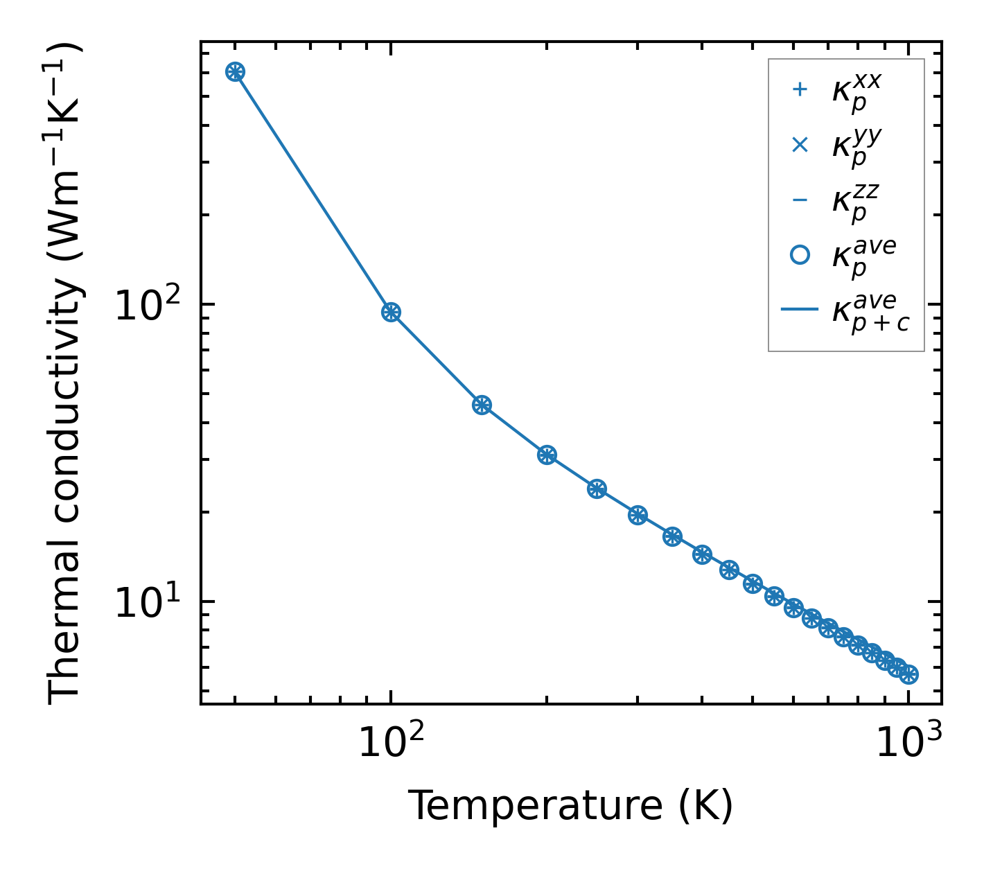
Thermal conductivity

3-phonon (LASSO) — q-mesh: 11x11x11, supercell: 1x1x1

../../_images/fig_kappa1410.png

(a) Temperature-dependent lattice thermal conductivity

../../_images/fig_kappa_vs_grain_size731.png

(b) Peierls lattice thermal conductivity w.r.t grain size

Phonon lifetime and scattering rates

../../_images/fig_lifetime720.png

(a) Phonon lifetime due to phonon-phonon scattering

../../_images/fig_scat_rates719.png

(b) Phonon scattering rates

Cumulative and spectral thermal conductivity

../../_images/fig_cumu_frequency720.png

(a) Spectral and cumulative thermal conductivity w.r.t frequency

../../_images/fig_cumu_mfp720.png

(b) Spectral and cumulative thermal conductivity w.r.t MFP

Force constants

../../_images/fig_fc21033.png

(a) Force constants w.r.t atomic distance

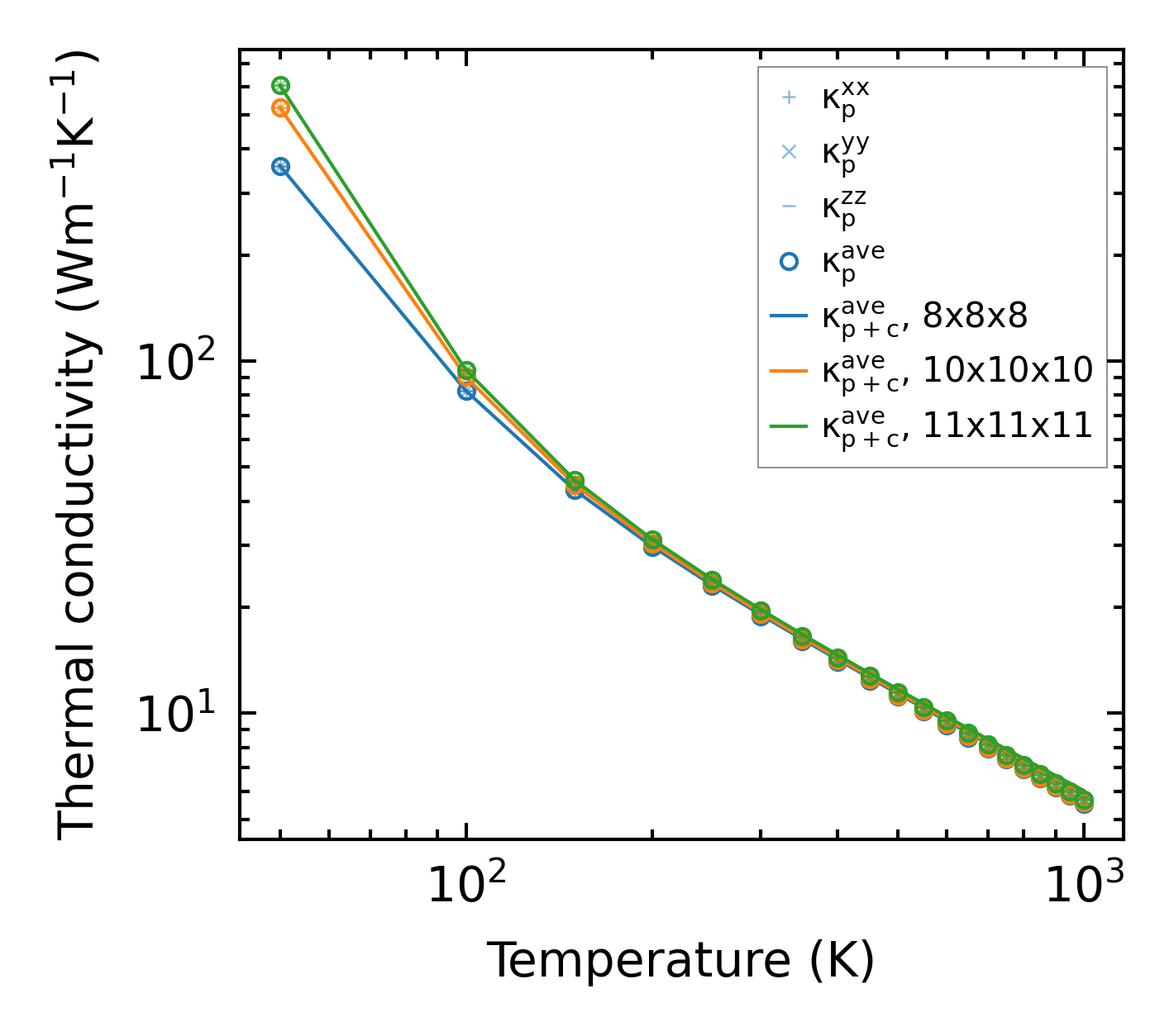
Summary

../../_images/fig_kappa1411.png

(a) Temperature-dependent lattice thermal conductivity

../../_images/fig_times1751.png

(b) Computation time