mp-9035/NaLuS2/anharm

Harmonic properties

../../_images/fig_bandos_pr1347.png

(a) Phonon dispersion with participation ratio and DOS

../../_images/fig_thermo1347.png

(b) Thermodynamic properties

Grüneisen parameters

../../_images/fig_gru_all828.png

(a) Grüneisen parameters

../../_images/fig_gruneisen828.png

(b) Phonon dispersion with Grüneisen parameters

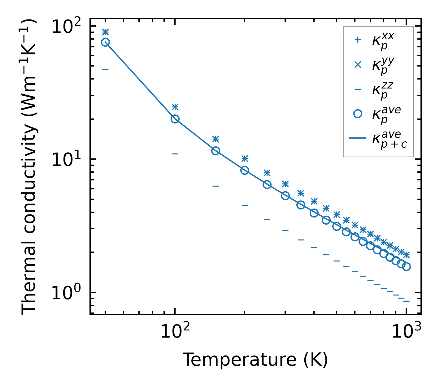
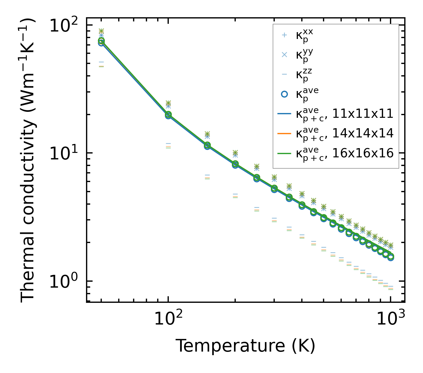
Thermal conductivity

3-phonon (LASSO) — q-mesh: 16x16x16, supercell: 3x3x1

../../_images/fig_kappa1607.png

(a) Temperature-dependent lattice thermal conductivity

../../_images/fig_kappa_vs_grain_size837.png

(b) Peierls lattice thermal conductivity w.r.t grain size

Phonon lifetime and scattering rates

../../_images/fig_lifetime822.png

(a) Phonon lifetime due to phonon-phonon scattering

../../_images/fig_scat_rates821.png

(b) Phonon scattering rates

Cumulative and spectral thermal conductivity

../../_images/fig_cumu_frequency822.png

(a) Spectral and cumulative thermal conductivity w.r.t frequency

../../_images/fig_cumu_mfp822.png

(b) Spectral and cumulative thermal conductivity w.r.t MFP

Force constants

../../_images/fig_fc21203.png

(a) Force constants w.r.t atomic distance

Summary

../../_images/fig_kappa1608.png

(a) Temperature-dependent lattice thermal conductivity

../../_images/fig_times2028.png

(b) Computation time