mp-9575/LiBeSb/anharm

Harmonic properties

../../_images/fig_bandos_pr1159.png

(a) Phonon dispersion with participation ratio and DOS

../../_images/fig_thermo1159.png

(b) Thermodynamic properties

Grüneisen parameters

../../_images/fig_gru_all714.png

(a) Grüneisen parameters

../../_images/fig_gruneisen714.png

(b) Phonon dispersion with Grüneisen parameters

Thermal conductivity

3-phonon (LASSO) — q-mesh: 18x18x11, supercell: 3x3x2

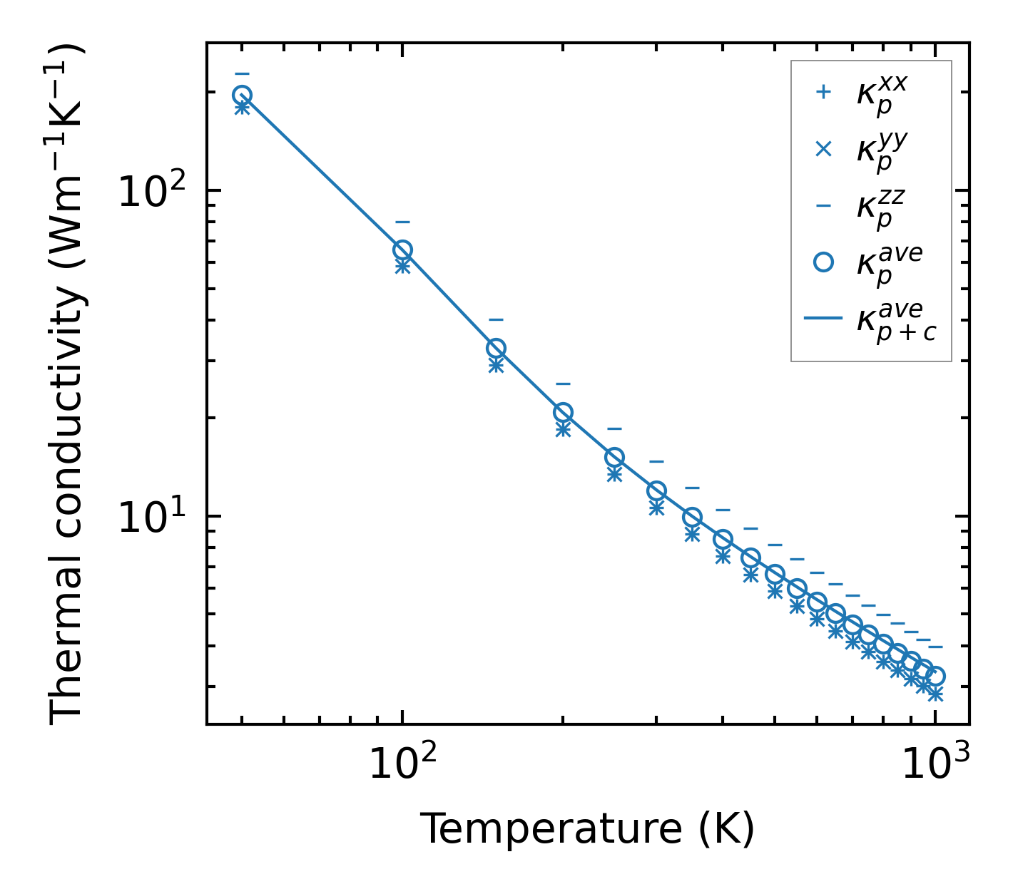
../../_images/fig_kappa1394.png

(a) Temperature-dependent lattice thermal conductivity

../../_images/fig_kappa_vs_grain_size723.png

(b) Peierls lattice thermal conductivity w.r.t grain size

Phonon lifetime and scattering rates

../../_images/fig_lifetime712.png

(a) Phonon lifetime due to phonon-phonon scattering

../../_images/fig_scat_rates711.png

(b) Phonon scattering rates

Cumulative and spectral thermal conductivity

../../_images/fig_cumu_frequency712.png

(a) Spectral and cumulative thermal conductivity w.r.t frequency

../../_images/fig_cumu_mfp712.png

(b) Spectral and cumulative thermal conductivity w.r.t MFP

Force constants

../../_images/fig_fc21025.png

(a) Force constants w.r.t atomic distance

Summary

../../_images/fig_kappa1395.png

(a) Temperature-dependent lattice thermal conductivity

../../_images/fig_times1735.png

(b) Computation time