mp-9384-2/CsAu3S2/anharm

Equation of state

../../_images/fig_bm528.png

(a) Equation of state

Harmonic properties

../../_images/fig_bandos_pr1465.png

(a) Phonon dispersion with participation ratio and DOS

../../_images/fig_thermo1465.png

(b) Thermodynamic properties

Grüneisen parameters

../../_images/fig_gru_all900.png

(a) Grüneisen parameters

../../_images/fig_gruneisen900.png

(b) Phonon dispersion with Grüneisen parameters

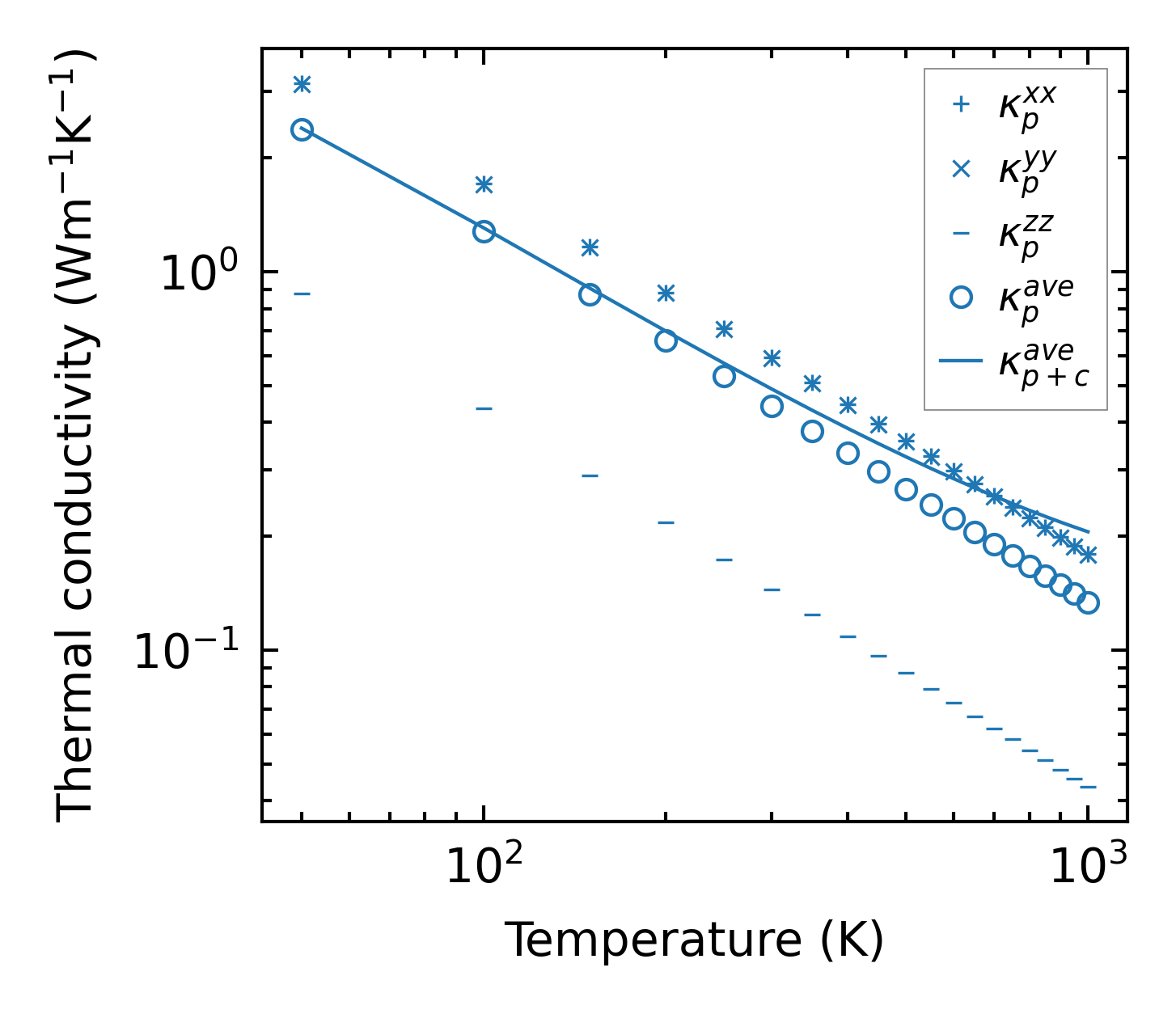
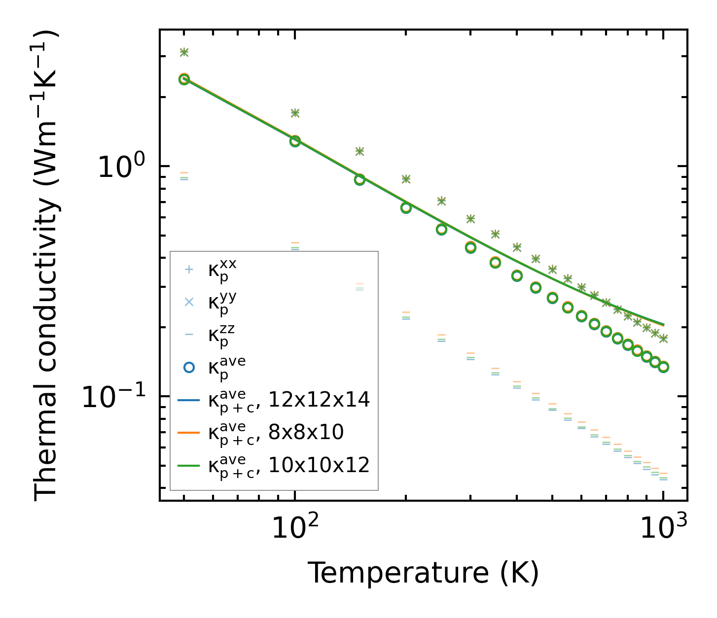
Thermal conductivity

3-phonon (LASSO) — q-mesh: 12x12x14, supercell: 2x2x3

../../_images/fig_kappa1747.png

(a) Temperature-dependent lattice thermal conductivity

../../_images/fig_kappa_vs_grain_size910.png

(b) Peierls lattice thermal conductivity w.r.t grain size

Phonon lifetime and scattering rates

../../_images/fig_lifetime893.png

(a) Phonon lifetime due to phonon-phonon scattering

../../_images/fig_scat_rates892.png

(b) Phonon scattering rates

Cumulative and spectral thermal conductivity

../../_images/fig_cumu_frequency893.png

(a) Spectral and cumulative thermal conductivity w.r.t frequency

../../_images/fig_cumu_mfp893.png

(b) Spectral and cumulative thermal conductivity w.r.t MFP

Force constants

../../_images/fig_fc21317.png

(a) Force constants w.r.t atomic distance

Summary

../../_images/fig_kappa1748.png

(a) Temperature-dependent lattice thermal conductivity

../../_images/fig_times2189.png

(b) Computation time