mp-9124/LiZnAs/anharm

Harmonic properties

../../_images/fig_bandos_pr1369.png

(a) Phonon dispersion with participation ratio and DOS

../../_images/fig_thermo1369.png

(b) Thermodynamic properties

Grüneisen parameters

../../_images/fig_gru_all845.png

(a) Grüneisen parameters

../../_images/fig_gruneisen845.png

(b) Phonon dispersion with Grüneisen parameters

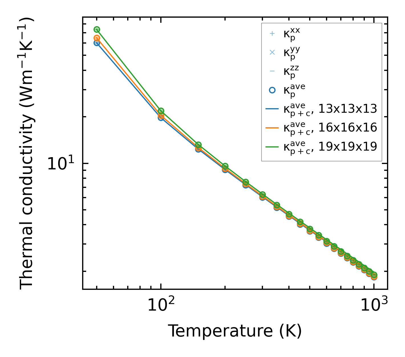
Thermal conductivity

3-phonon — q-mesh: 19x19x19, supercell: 2x2x2

../../_images/fig_kappa1641.png

(a) Temperature-dependent lattice thermal conductivity

../../_images/fig_kappa_vs_grain_size855.png

(b) Peierls lattice thermal conductivity w.r.t grain size

Phonon lifetime and scattering rates

../../_images/fig_lifetime839.png

(a) Phonon lifetime due to phonon-phonon scattering

../../_images/fig_scat_rates838.png

(b) Phonon scattering rates

Cumulative and spectral thermal conductivity

../../_images/fig_cumu_frequency839.png

(a) Spectral and cumulative thermal conductivity w.r.t frequency

../../_images/fig_cumu_mfp839.png

(b) Spectral and cumulative thermal conductivity w.r.t MFP

Force constants

../../_images/fig_fc3145.png

(a) Force constants w.r.t atomic distance

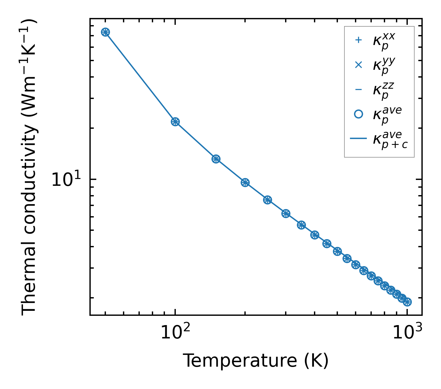
Summary

../../_images/fig_kappa1642.png

(a) Temperature-dependent lattice thermal conductivity

../../_images/fig_times2057.png

(b) Computation time