mp-9799/Yb4As2O/anharm

Harmonic properties

../../_images/fig_bandos_pr1242.png

(a) Phonon dispersion with participation ratio and DOS

../../_images/fig_thermo1242.png

(b) Thermodynamic properties

Grüneisen parameters

../../_images/fig_gru_all769.png

(a) Grüneisen parameters

../../_images/fig_gruneisen769.png

(b) Phonon dispersion with Grüneisen parameters

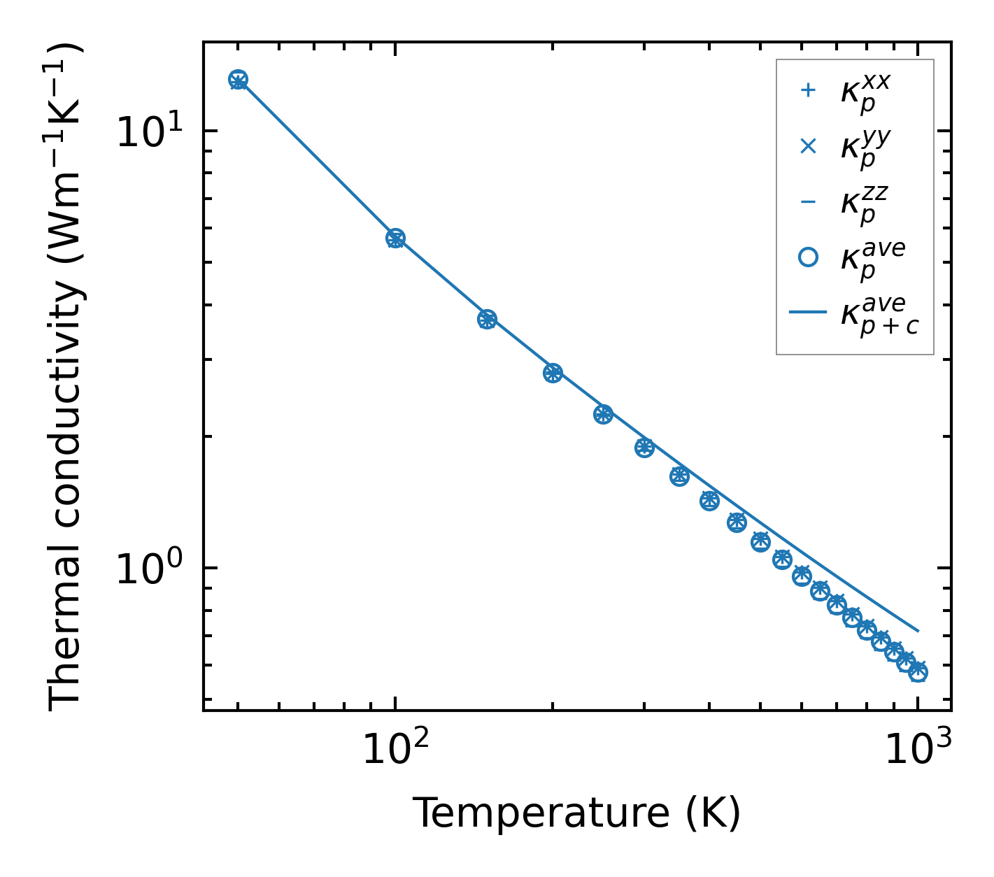
Thermal conductivity

3-phonon (LASSO) — q-mesh: 13x13x13, supercell: 3x3x1

../../_images/fig_kappa1496.png

(a) Temperature-dependent lattice thermal conductivity

../../_images/fig_kappa_vs_grain_size777.png

(b) Peierls lattice thermal conductivity w.r.t grain size

Phonon lifetime and scattering rates

../../_images/fig_lifetime763.png

(a) Phonon lifetime due to phonon-phonon scattering

../../_images/fig_scat_rates762.png

(b) Phonon scattering rates

Cumulative and spectral thermal conductivity

../../_images/fig_cumu_frequency763.png

(a) Spectral and cumulative thermal conductivity w.r.t frequency

../../_images/fig_cumu_mfp763.png

(b) Spectral and cumulative thermal conductivity w.r.t MFP

Force constants

../../_images/fig_fc21108.png

(a) Force constants w.r.t atomic distance

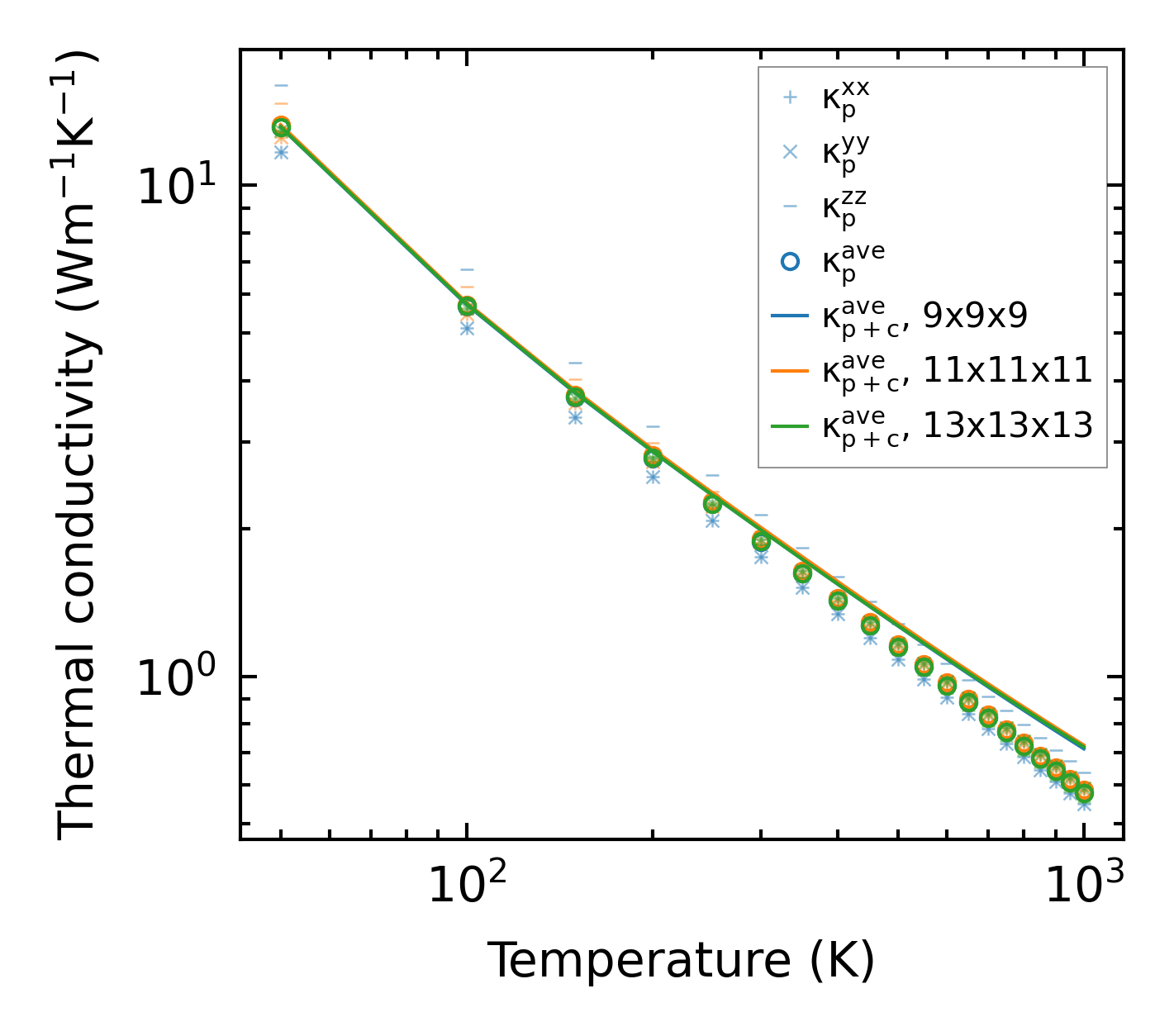
Summary

../../_images/fig_kappa1497.png

(a) Temperature-dependent lattice thermal conductivity

../../_images/fig_times1862.png

(b) Computation time