mp-9059-2/KLi6TaO6/anharm

Equation of state

../../_images/fig_bm472.png

(a) Equation of state

Harmonic properties

../../_images/fig_bandos_pr1351.png

(a) Phonon dispersion with participation ratio and DOS

../../_images/fig_thermo1351.png

(b) Thermodynamic properties

Grüneisen parameters

../../_images/fig_gru_all832.png

(a) Grüneisen parameters

../../_images/fig_gruneisen832.png

(b) Phonon dispersion with Grüneisen parameters

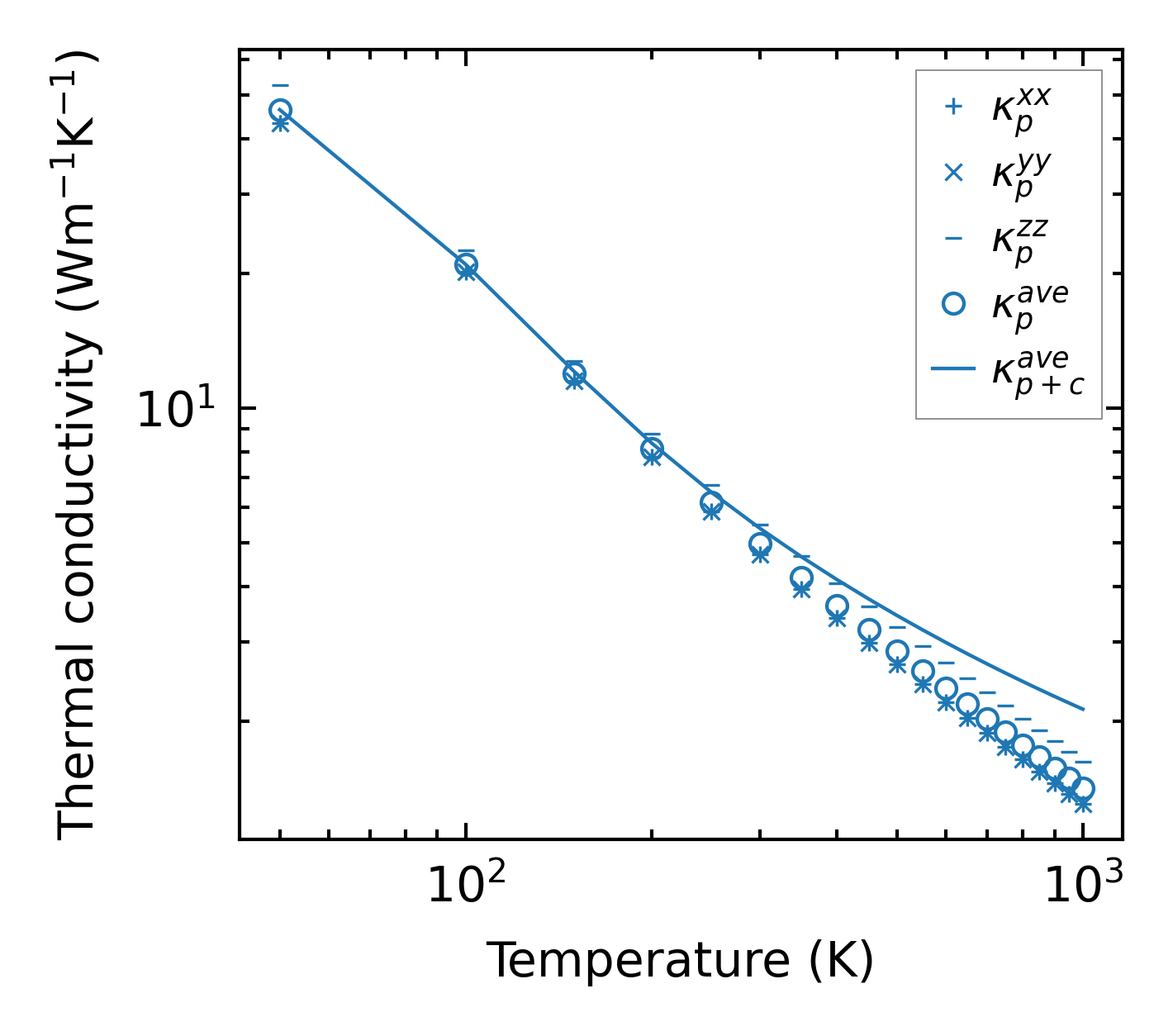
Thermal conductivity

3-phonon (LASSO) — q-mesh: 13x13x13, supercell: 1x1x2

../../_images/fig_kappa1615.png

(a) Temperature-dependent lattice thermal conductivity

../../_images/fig_kappa_vs_grain_size841.png

(b) Peierls lattice thermal conductivity w.r.t grain size

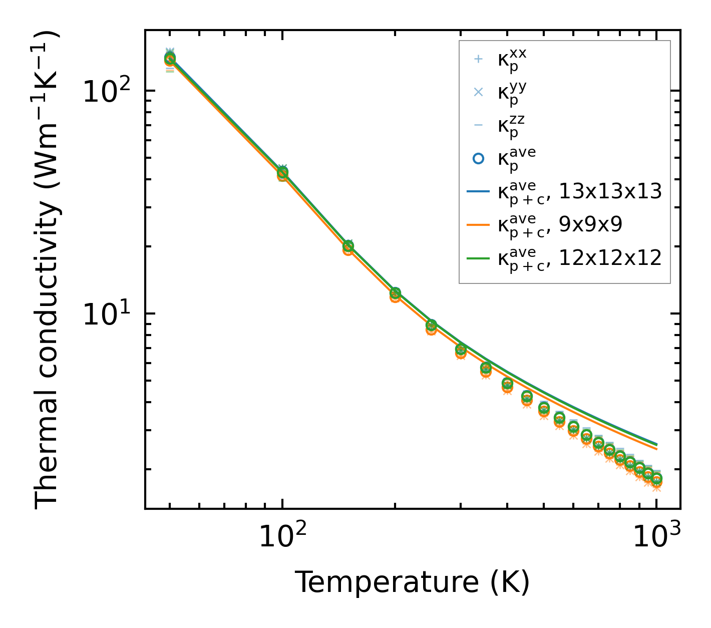
3-phonon (LASSO), supercell 2x2x2 — q-mesh: 13x13x13, supercell: 2x2x2

../../_images/fig_kappa1616.png

(a) Temperature-dependent lattice thermal conductivity

../../_images/fig_kappa_vs_grain_size842.png

(b) Peierls lattice thermal conductivity w.r.t grain size

Phonon lifetime and scattering rates

../../_images/fig_lifetime826.png

(a) Phonon lifetime due to phonon-phonon scattering

../../_images/fig_scat_rates825.png

(b) Phonon scattering rates

Cumulative and spectral thermal conductivity

../../_images/fig_cumu_frequency826.png

(a) Spectral and cumulative thermal conductivity w.r.t frequency

../../_images/fig_cumu_mfp826.png

(b) Spectral and cumulative thermal conductivity w.r.t MFP

Force constants

../../_images/fig_fc21206.png

(a) Force constants w.r.t atomic distance

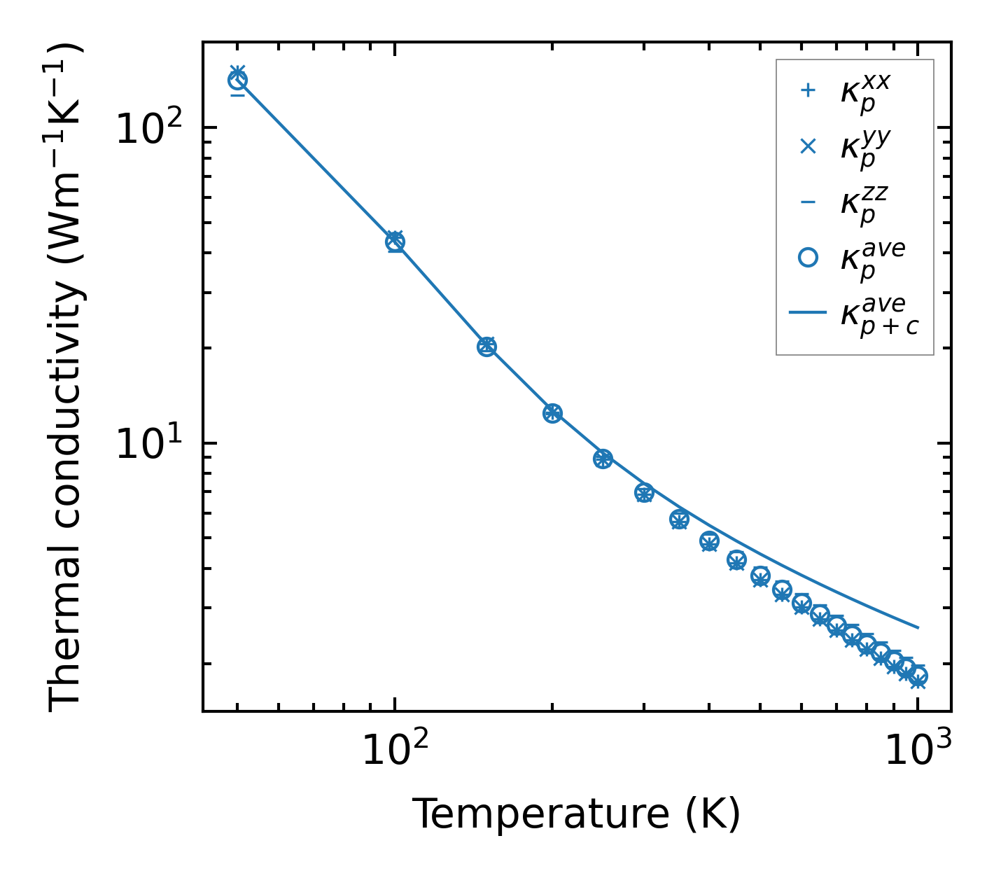
Summary

../../_images/fig_kappa1617.png

(a) Temperature-dependent lattice thermal conductivity

../../_images/fig_times2033.png

(b) Computation time