mp-9680/Na3AlTe3/anharm

Harmonic properties

../../_images/fig_bandos1100.png

(a) Phonon dispersion and DOS

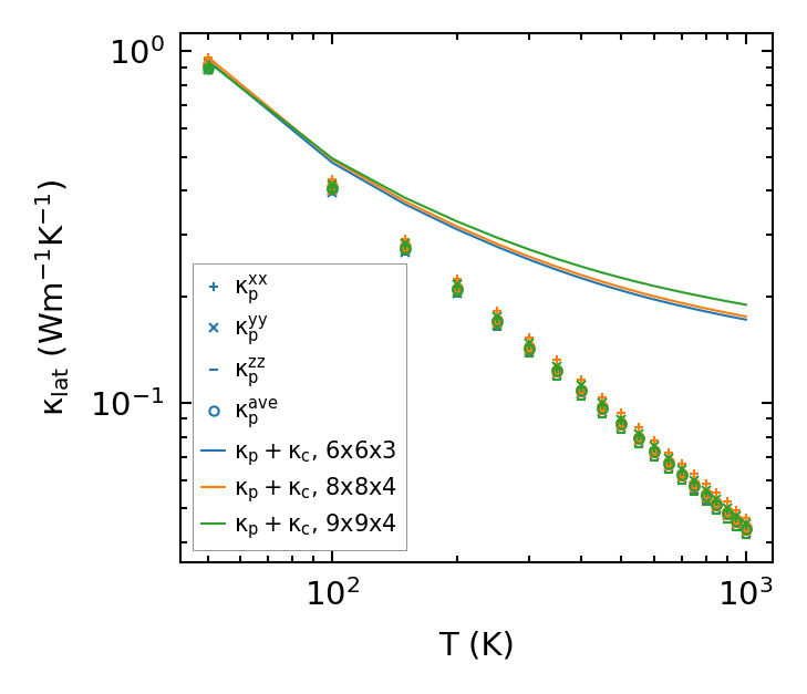
Thermal conductivity

Summary

../../_images/fig_kappa1444.png

(a) Temperature-dependent lattice thermal conductivity

../../_images/fig_times1782.png

(b) Computation time