mp-9194/SmCuSeO/anharm

Harmonic properties

../../_images/fig_bandos_pr1388.png

(a) Phonon dispersion with participation ratio and DOS

../../_images/fig_thermo1388.png

(b) Thermodynamic properties

Grüneisen parameters

../../_images/fig_gru_all855.png

(a) Grüneisen parameters

../../_images/fig_gruneisen855.png

(b) Phonon dispersion with Grüneisen parameters

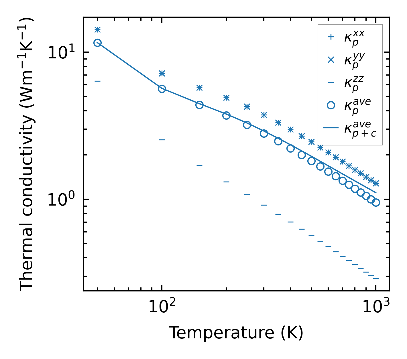
Thermal conductivity

3-phonon (LASSO) — q-mesh: 18x18x8, supercell: 3x3x2

../../_images/fig_kappa1661.png

(a) Temperature-dependent lattice thermal conductivity

../../_images/fig_kappa_vs_grain_size865.png

(b) Peierls lattice thermal conductivity w.r.t grain size

Phonon lifetime and scattering rates

../../_images/fig_lifetime849.png

(a) Phonon lifetime due to phonon-phonon scattering

../../_images/fig_scat_rates848.png

(b) Phonon scattering rates

Cumulative and spectral thermal conductivity

../../_images/fig_cumu_frequency849.png

(a) Spectral and cumulative thermal conductivity w.r.t frequency

../../_images/fig_cumu_mfp849.png

(b) Spectral and cumulative thermal conductivity w.r.t MFP

Force constants

../../_images/fig_fc21242.png

(a) Force constants w.r.t atomic distance

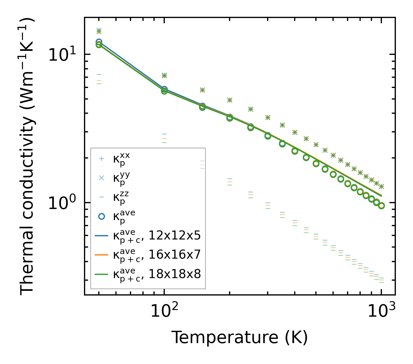
Summary

../../_images/fig_kappa1662.png

(a) Temperature-dependent lattice thermal conductivity

../../_images/fig_times2086.png

(b) Computation time