mp-9631/AlAgO2/anharm

Harmonic properties

../../_images/fig_bandos_pr1171.png

(a) Phonon dispersion with participation ratio and DOS

../../_images/fig_thermo1171.png

(b) Thermodynamic properties

Grüneisen parameters

../../_images/fig_gru_all726.png

(a) Grüneisen parameters

../../_images/fig_gruneisen726.png

(b) Phonon dispersion with Grüneisen parameters

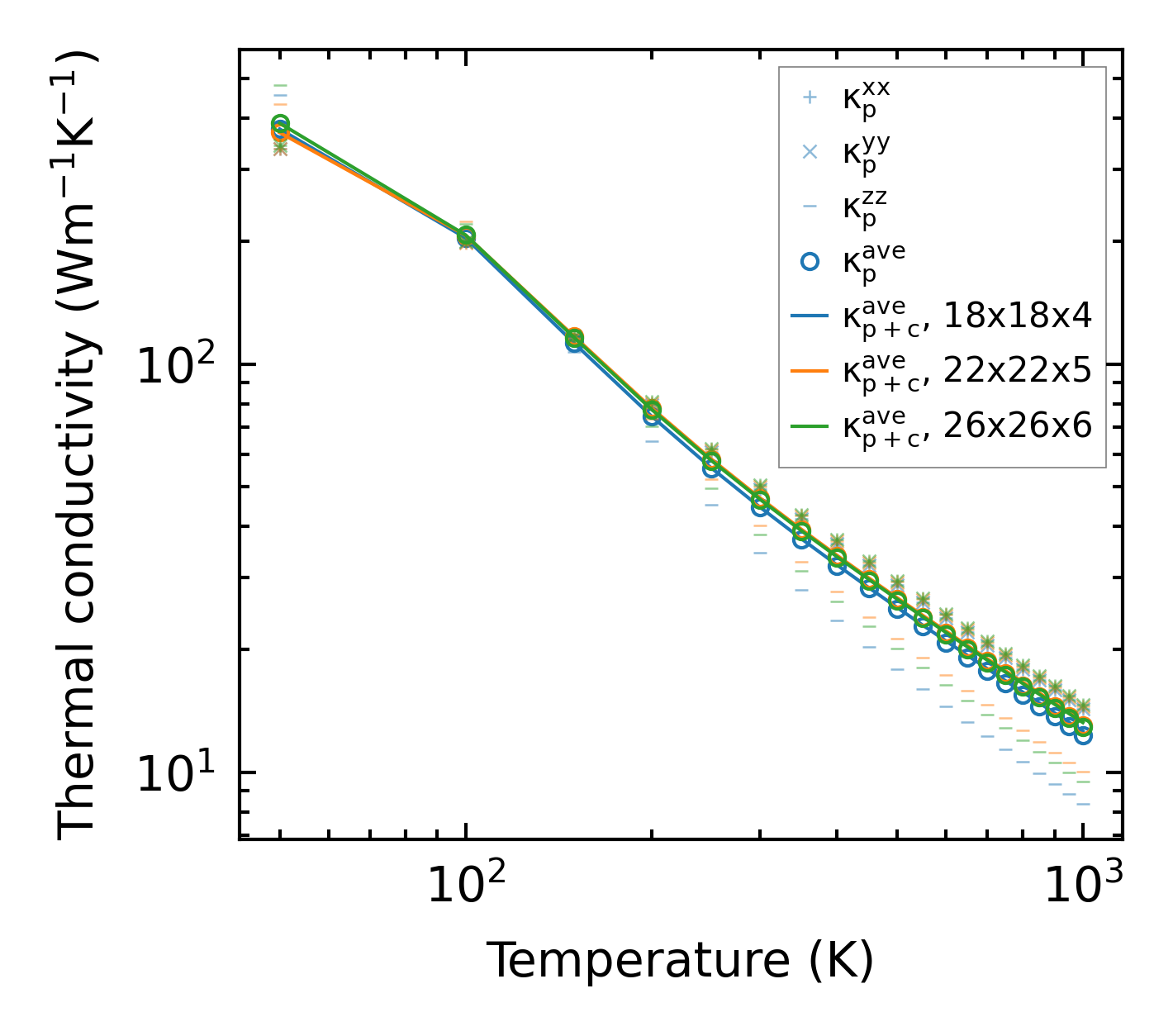
Thermal conductivity

3-phonon (LASSO) — q-mesh: 26x26x6, supercell: 4x4x1

../../_images/fig_kappa1418.png

(a) Temperature-dependent lattice thermal conductivity

../../_images/fig_kappa_vs_grain_size735.png

(b) Peierls lattice thermal conductivity w.r.t grain size

Phonon lifetime and scattering rates

../../_images/fig_lifetime724.png

(a) Phonon lifetime due to phonon-phonon scattering

../../_images/fig_scat_rates723.png

(b) Phonon scattering rates

Cumulative and spectral thermal conductivity

../../_images/fig_cumu_frequency724.png

(a) Spectral and cumulative thermal conductivity w.r.t frequency

../../_images/fig_cumu_mfp724.png

(b) Spectral and cumulative thermal conductivity w.r.t MFP

Force constants

../../_images/fig_fc21037.png

(a) Force constants w.r.t atomic distance

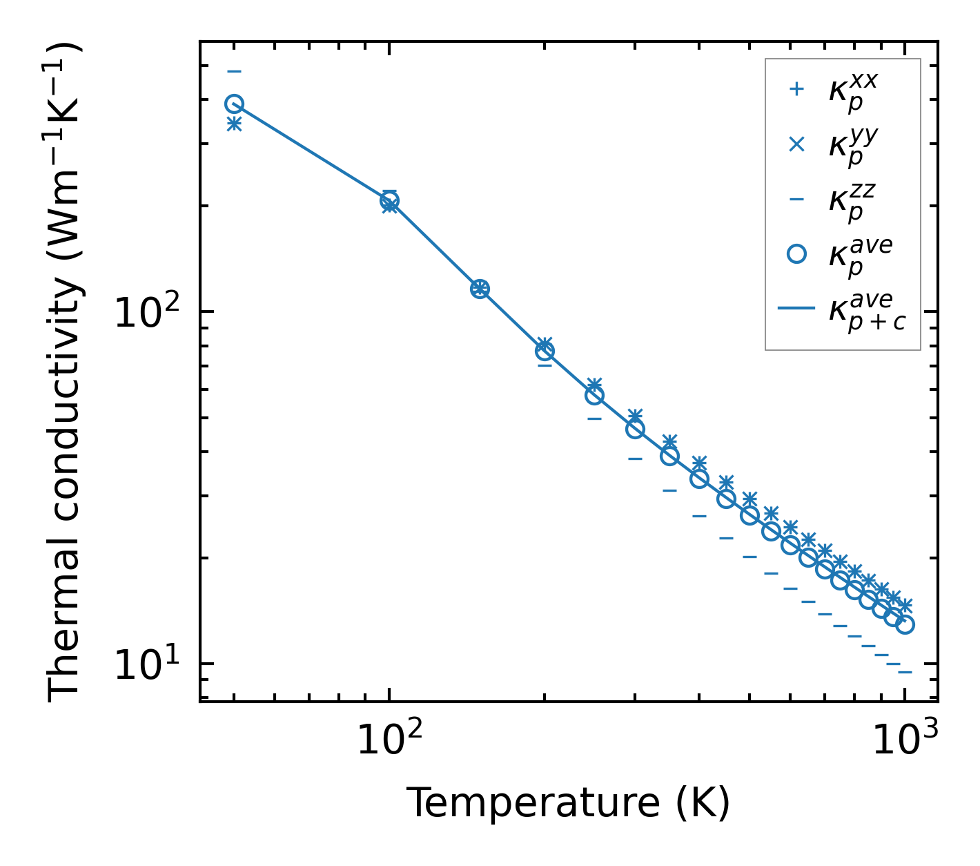
Summary

../../_images/fig_kappa1419.png

(a) Temperature-dependent lattice thermal conductivity

../../_images/fig_times1757.png

(b) Computation time