mp-9807-2/KDyC2O6/harm

Equation of state

../../_images/fig_bm431.png

(a) Equation of state

Harmonic properties

../../_images/fig_bandos_pr1246.png

(a) Phonon dispersion with participation ratio and DOS

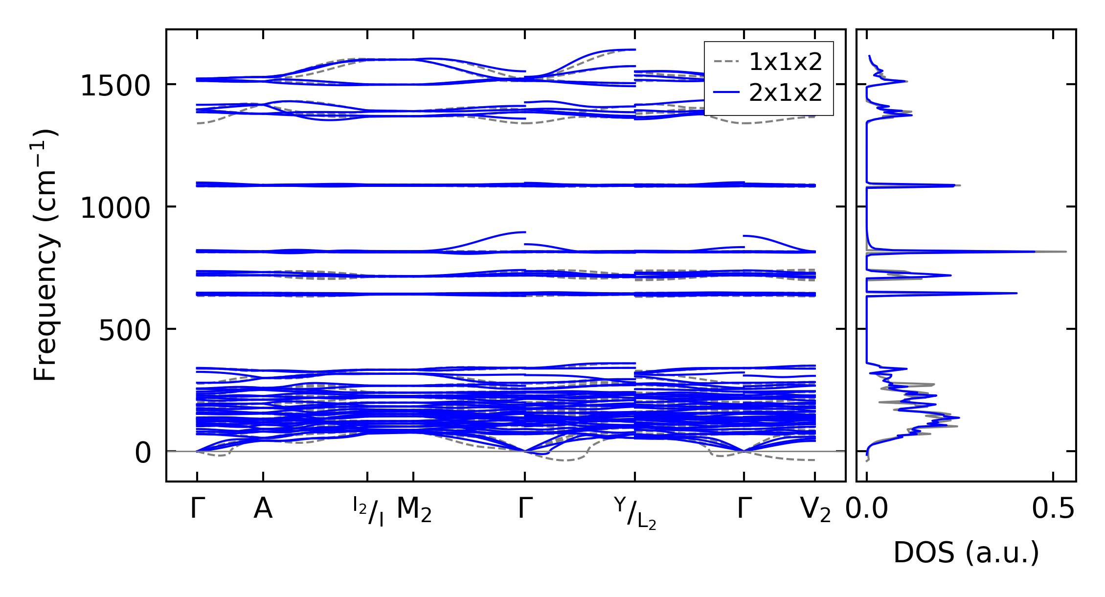
../../_images/fig_bandos1159.png

(b) Phonon dispersion and DOS

../../_images/fig_thermo1246.png

(c) Thermodynamic properties

Force constants

../../_images/fig_fc21112.png

(a) Force constants w.r.t atomic distance

Summary

../../_images/fig_times1866.png

(a) Computation time