mp-9332-2/KGaPO4F/anharm

Equation of state

../../_images/fig_bm516.png

(a) Equation of state

Harmonic properties

../../_images/fig_bandos_pr1442.png

(a) Phonon dispersion with participation ratio and DOS

../../_images/fig_thermo1442.png

(b) Thermodynamic properties

Grüneisen parameters

../../_images/fig_gru_all887.png

(a) Grüneisen parameters

../../_images/fig_gruneisen887.png

(b) Phonon dispersion with Grüneisen parameters

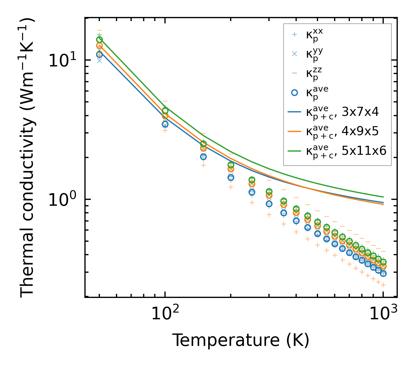
Thermal conductivity

3-phonon (LASSO) — q-mesh: 5x11x6, supercell: 1x2x1

../../_images/fig_kappa1722.png

(a) Temperature-dependent lattice thermal conductivity

../../_images/fig_kappa_vs_grain_size897.png

(b) Peierls lattice thermal conductivity w.r.t grain size

Phonon lifetime and scattering rates

../../_images/fig_lifetime880.png

(a) Phonon lifetime due to phonon-phonon scattering

../../_images/fig_scat_rates879.png

(b) Phonon scattering rates

Cumulative and spectral thermal conductivity

../../_images/fig_cumu_frequency880.png

(a) Spectral and cumulative thermal conductivity w.r.t frequency

../../_images/fig_cumu_mfp880.png

(b) Spectral and cumulative thermal conductivity w.r.t MFP

Force constants

../../_images/fig_fc21294.png

(a) Force constants w.r.t atomic distance

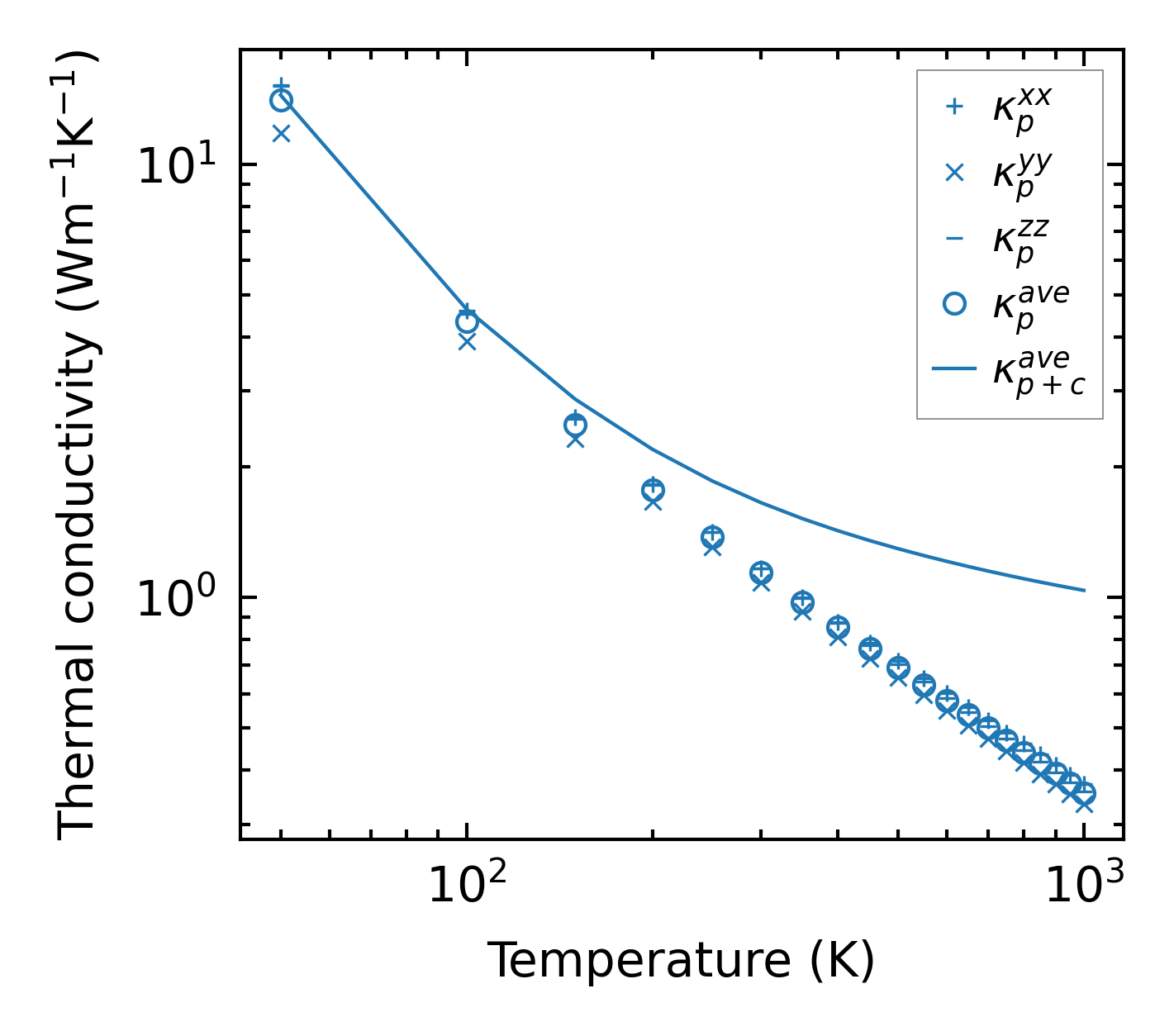
Summary

../../_images/fig_kappa1723.png

(a) Temperature-dependent lattice thermal conductivity

../../_images/fig_times2158.png

(b) Computation time