mp-9386-2/CsAu3Se2/anharm

Equation of state

../../_images/fig_bm529.png

(a) Equation of state

Harmonic properties

../../_images/fig_bandos_pr1468.png

(a) Phonon dispersion with participation ratio and DOS

../../_images/fig_thermo1468.png

(b) Thermodynamic properties

Grüneisen parameters

../../_images/fig_gru_all902.png

(a) Grüneisen parameters

../../_images/fig_gruneisen902.png

(b) Phonon dispersion with Grüneisen parameters

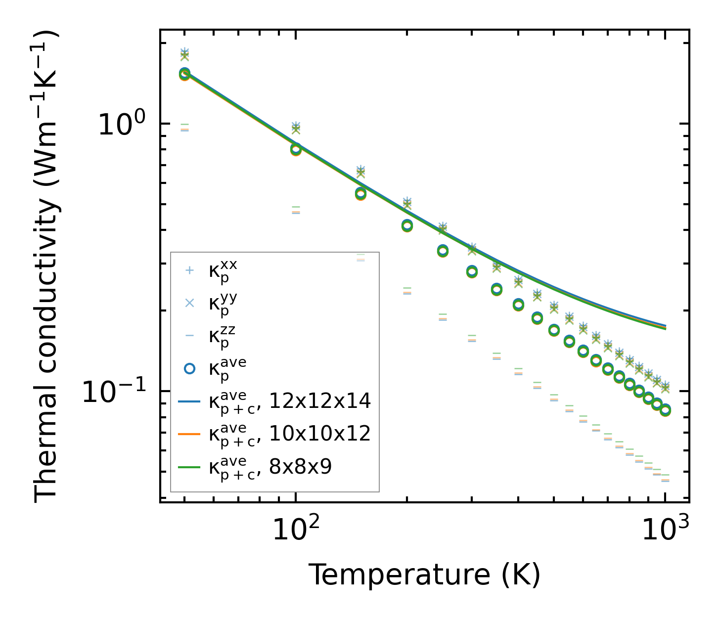
Thermal conductivity

3-phonon (LASSO) — q-mesh: 12x12x14, supercell: 2x2x3

../../_images/fig_kappa1751.png

(a) Temperature-dependent lattice thermal conductivity

../../_images/fig_kappa_vs_grain_size912.png

(b) Peierls lattice thermal conductivity w.r.t grain size

Phonon lifetime and scattering rates

../../_images/fig_lifetime895.png

(a) Phonon lifetime due to phonon-phonon scattering

../../_images/fig_scat_rates894.png

(b) Phonon scattering rates

Cumulative and spectral thermal conductivity

../../_images/fig_cumu_frequency895.png

(a) Spectral and cumulative thermal conductivity w.r.t frequency

../../_images/fig_cumu_mfp895.png

(b) Spectral and cumulative thermal conductivity w.r.t MFP

Force constants

../../_images/fig_fc21320.png

(a) Force constants w.r.t atomic distance

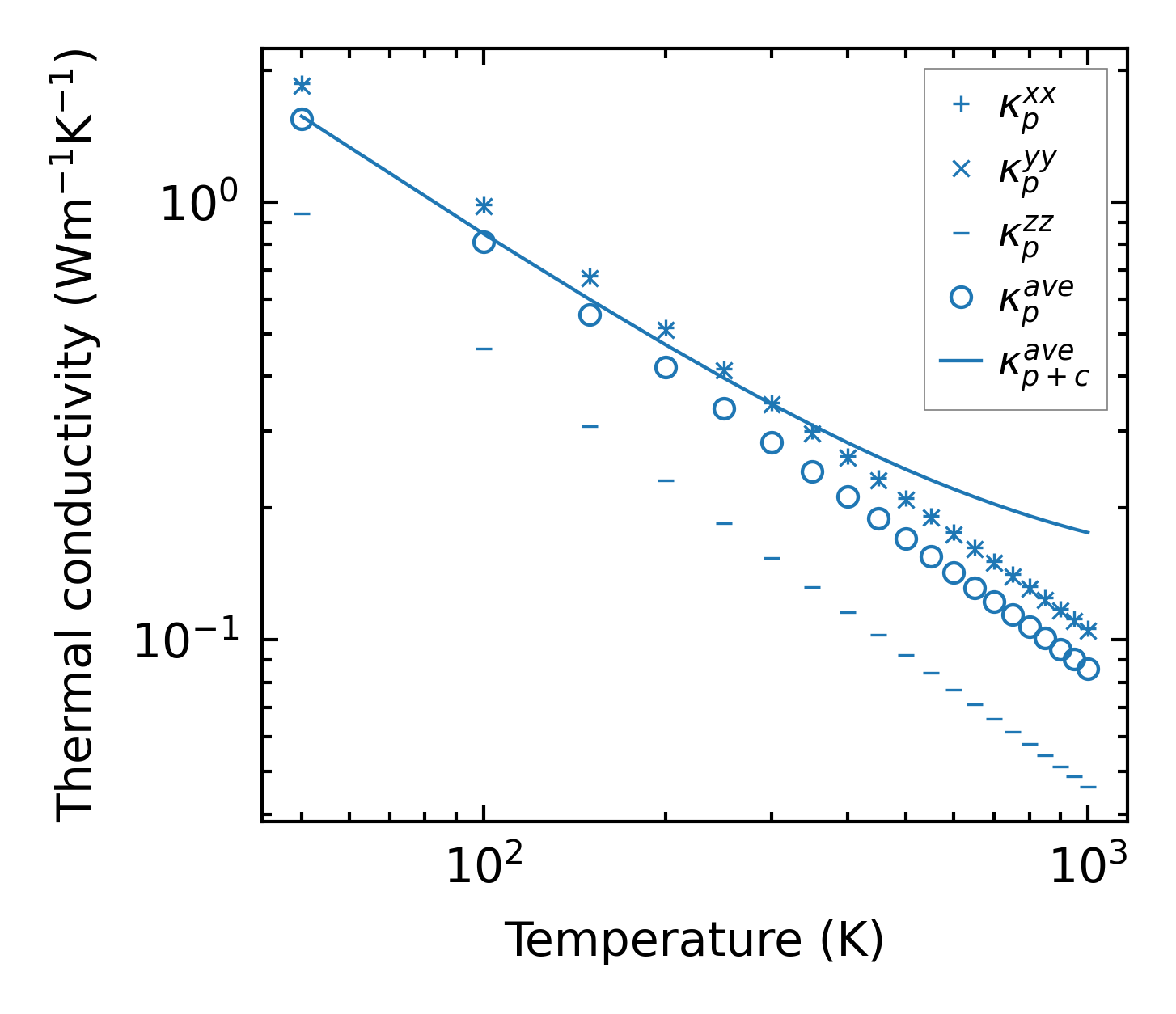
Summary

../../_images/fig_kappa1752.png

(a) Temperature-dependent lattice thermal conductivity

../../_images/fig_times2192.png

(b) Computation time