mp-9839-2/K2LiAlF6/anharm

Equation of state

../../_images/fig_bm439.png

(a) Equation of state

Harmonic properties

../../_images/fig_bandos_pr1257.png

(a) Phonon dispersion with participation ratio and DOS

../../_images/fig_thermo1257.png

(b) Thermodynamic properties

Grüneisen parameters

../../_images/fig_gru_all774.png

(a) Grüneisen parameters

../../_images/fig_gruneisen774.png

(b) Phonon dispersion with Grüneisen parameters

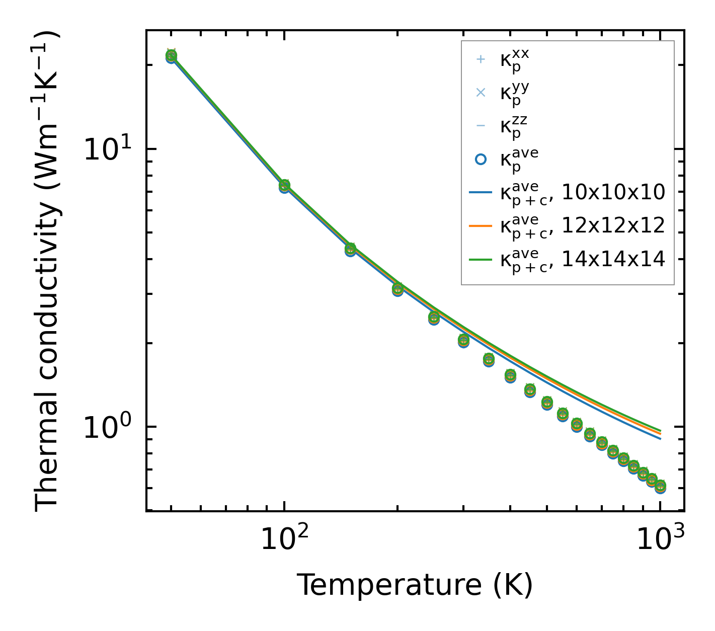
Thermal conductivity

3-phonon (LASSO) — q-mesh: 14x14x14, supercell: 1x1x1

../../_images/fig_kappa1505.png

(a) Temperature-dependent lattice thermal conductivity

../../_images/fig_kappa_vs_grain_size782.png

(b) Peierls lattice thermal conductivity w.r.t grain size

Phonon lifetime and scattering rates

../../_images/fig_lifetime768.png

(a) Phonon lifetime due to phonon-phonon scattering

../../_images/fig_scat_rates767.png

(b) Phonon scattering rates

Cumulative and spectral thermal conductivity

../../_images/fig_cumu_frequency768.png

(a) Spectral and cumulative thermal conductivity w.r.t frequency

../../_images/fig_cumu_mfp768.png

(b) Spectral and cumulative thermal conductivity w.r.t MFP

Force constants

../../_images/fig_fc21123.png

(a) Force constants w.r.t atomic distance

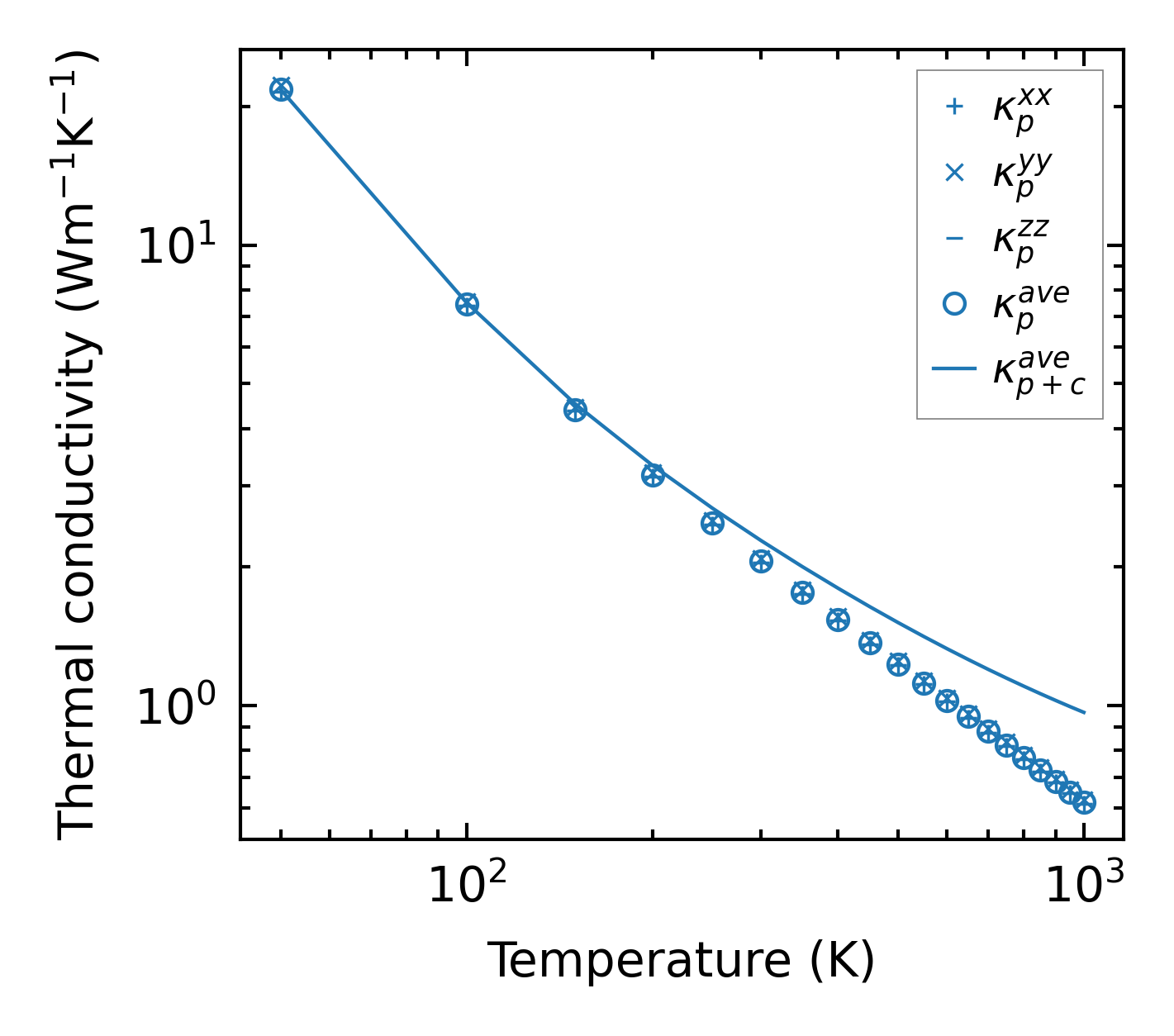
Summary

../../_images/fig_kappa1506.png

(a) Temperature-dependent lattice thermal conductivity

../../_images/fig_times1883.png

(b) Computation time