mp-9200-2/K3AuO/anharm

Equation of state

../../_images/fig_bm492.png

(a) Equation of state

Harmonic properties

../../_images/fig_bandos_pr1392.png

(a) Phonon dispersion with participation ratio and DOS

../../_images/fig_bandos1308.png

(b) Phonon dispersion and DOS

../../_images/fig_thermo1392.png

(c) Thermodynamic properties

Grüneisen parameters

../../_images/fig_gru_all858.png

(a) Grüneisen parameters

../../_images/fig_gruneisen858.png

(b) Phonon dispersion with Grüneisen parameters

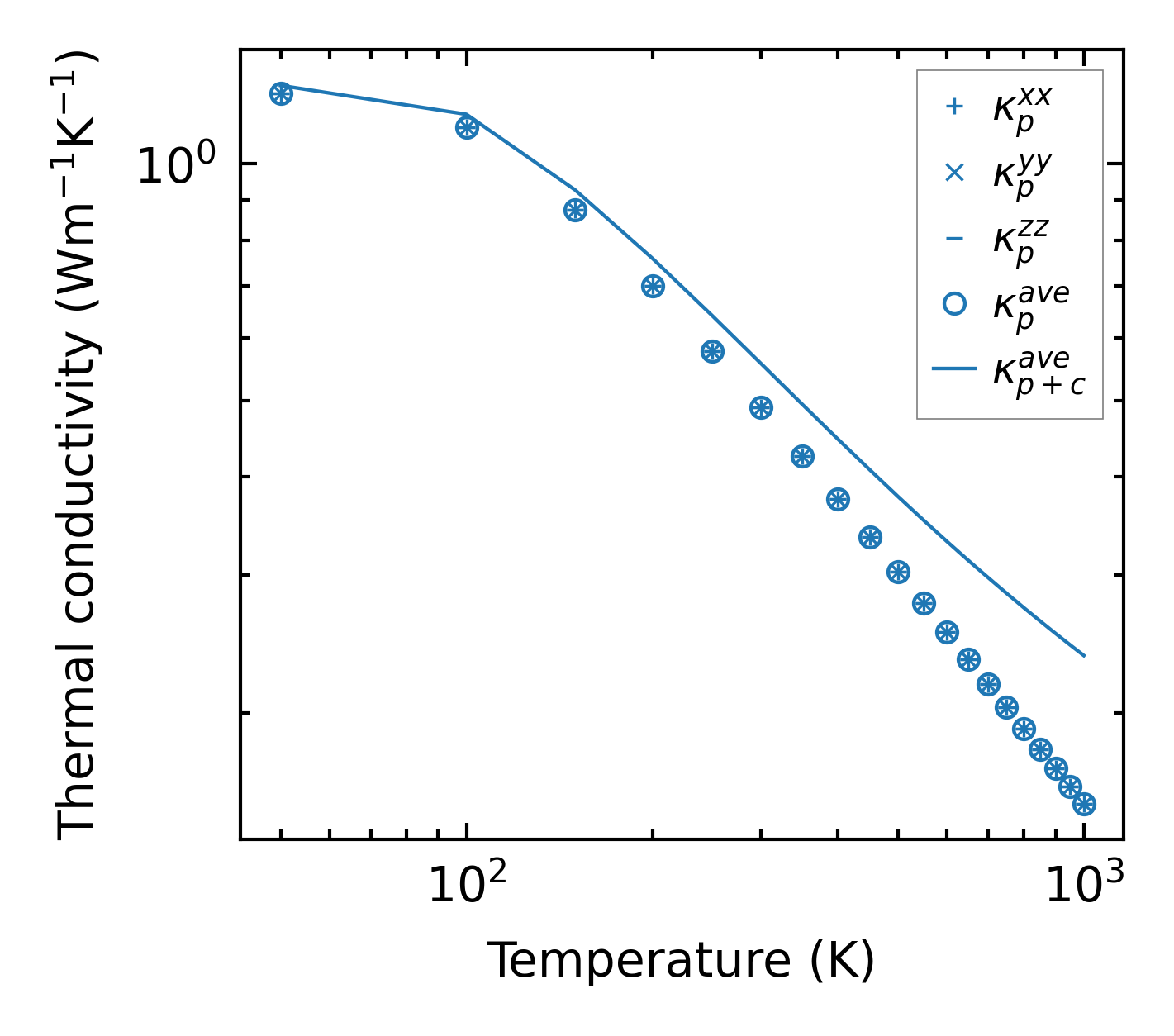
Thermal conductivity

3-phonon, supercell 4x4x4 — q-mesh: 13x13x13, supercell: 4x4x4

../../_images/fig_kappa1667.png

(a) Temperature-dependent lattice thermal conductivity

../../_images/fig_kappa_vs_grain_size868.png

(b) Peierls lattice thermal conductivity w.r.t grain size

Phonon lifetime and scattering rates

../../_images/fig_lifetime852.png

(a) Phonon lifetime due to phonon-phonon scattering

../../_images/fig_scat_rates851.png

(b) Phonon scattering rates

Cumulative and spectral thermal conductivity

../../_images/fig_cumu_frequency852.png

(a) Spectral and cumulative thermal conductivity w.r.t frequency

../../_images/fig_cumu_mfp852.png

(b) Spectral and cumulative thermal conductivity w.r.t MFP

Force constants

../../_images/fig_fc3146.png

(a) Force constants w.r.t atomic distance

Summary

../../_images/fig_times2094.png

(a) Computation time