mp-9244/LiBC/anharm

Harmonic properties

../../_images/fig_bandos_pr1398.png

(a) Phonon dispersion with participation ratio and DOS

../../_images/fig_thermo1398.png

(b) Thermodynamic properties

Grüneisen parameters

../../_images/fig_gru_all862.png

(a) Grüneisen parameters

../../_images/fig_gruneisen862.png

(b) Phonon dispersion with Grüneisen parameters

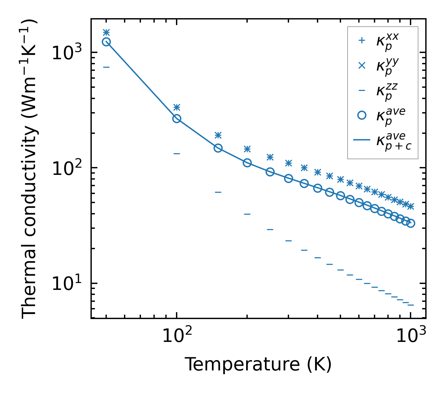
Thermal conductivity

3-phonon (LASSO) — q-mesh: 27x27x10, supercell: 3x3x2

../../_images/fig_kappa1673.png

(a) Temperature-dependent lattice thermal conductivity

../../_images/fig_kappa_vs_grain_size872.png

(b) Peierls lattice thermal conductivity w.r.t grain size

Phonon lifetime and scattering rates

../../_images/fig_lifetime856.png

(a) Phonon lifetime due to phonon-phonon scattering

../../_images/fig_scat_rates855.png

(b) Phonon scattering rates

Cumulative and spectral thermal conductivity

../../_images/fig_cumu_frequency856.png

(a) Spectral and cumulative thermal conductivity w.r.t frequency

../../_images/fig_cumu_mfp856.png

(b) Spectral and cumulative thermal conductivity w.r.t MFP

Force constants

../../_images/fig_fc21251.png

(a) Force constants w.r.t atomic distance

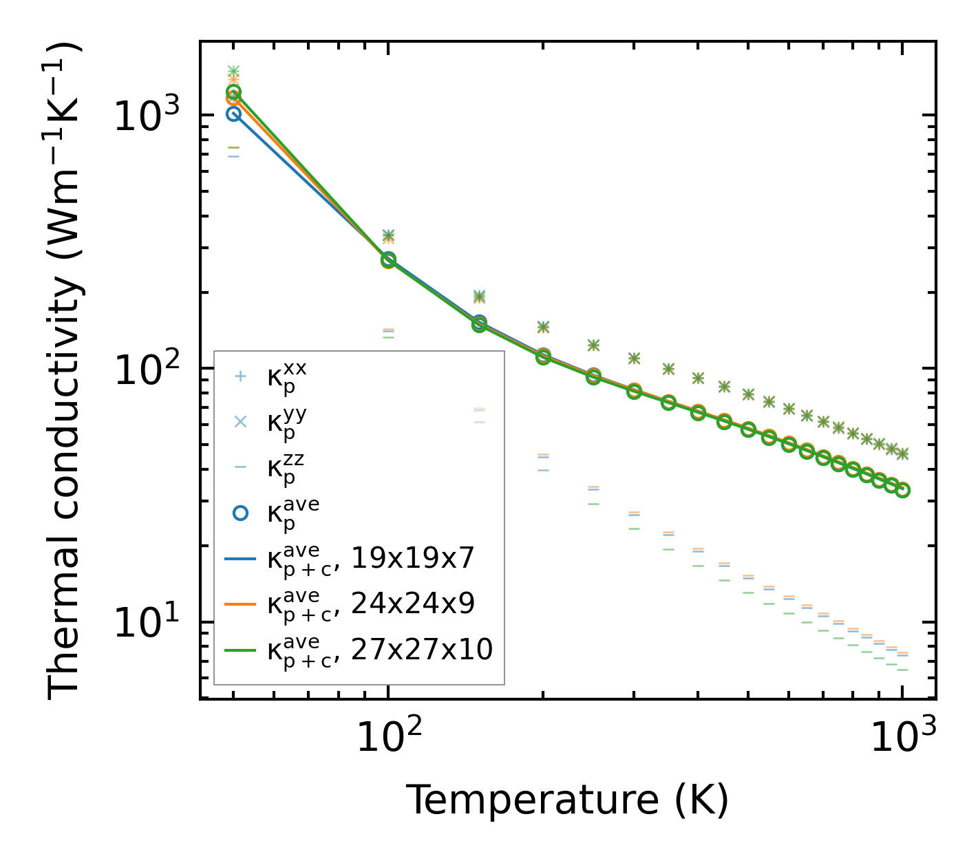
Summary

../../_images/fig_kappa1674.png

(a) Temperature-dependent lattice thermal conductivity

../../_images/fig_times2109.png

(b) Computation time