mp-9510-2/Tl2PAuS4/anharm

Equation of state

../../_images/fig_bm376.png

(a) Equation of state

Harmonic properties

../../_images/fig_bandos_pr1135.png

(a) Phonon dispersion with participation ratio and DOS

../../_images/fig_bandos1066.png

(b) Phonon dispersion and DOS

../../_images/fig_thermo1135.png

(c) Thermodynamic properties

Grüneisen parameters

../../_images/fig_gru_all696.png

(a) Grüneisen parameters

../../_images/fig_gruneisen696.png

(b) Phonon dispersion with Grüneisen parameters

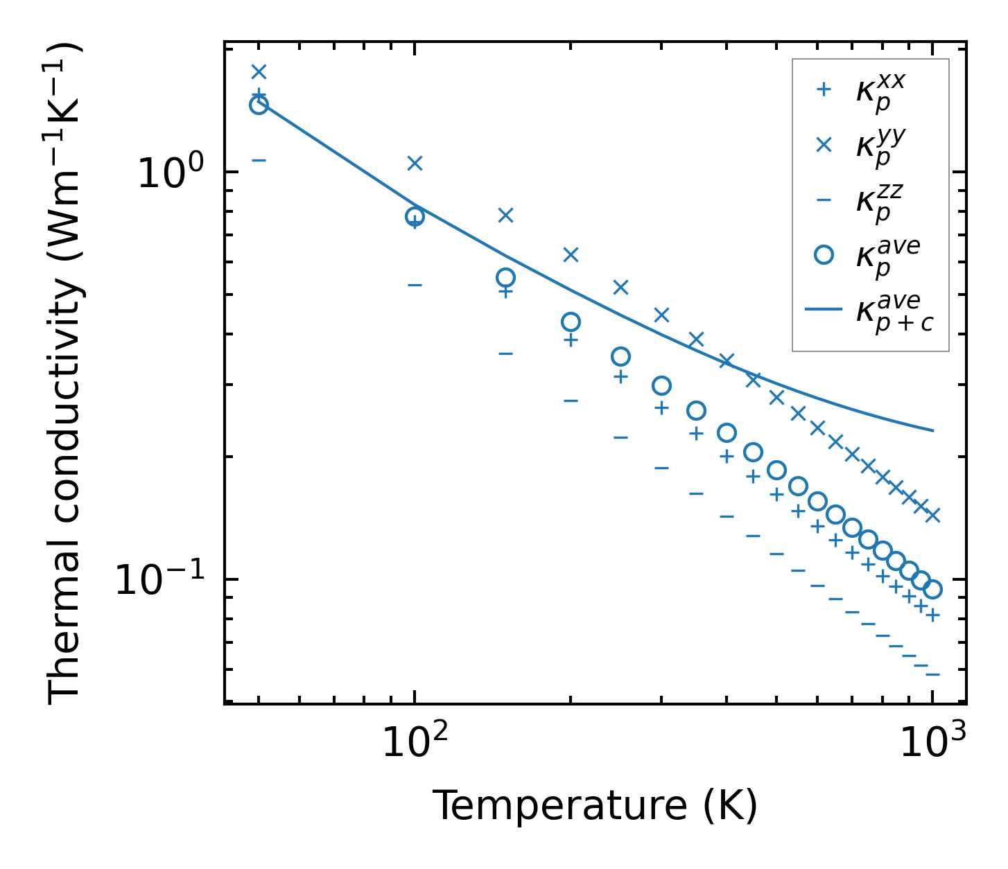
Thermal conductivity

3-phonon (LASSO), supercell 3x2x2 — q-mesh: 11x10x7, supercell: 3x2x2

../../_images/fig_kappa1359.png

(a) Temperature-dependent lattice thermal conductivity

../../_images/fig_kappa_vs_grain_size705.png

(b) Peierls lattice thermal conductivity w.r.t grain size

Phonon lifetime and scattering rates

../../_images/fig_lifetime694.png

(a) Phonon lifetime due to phonon-phonon scattering

../../_images/fig_scat_rates693.png

(b) Phonon scattering rates

Cumulative and spectral thermal conductivity

../../_images/fig_cumu_frequency694.png

(a) Spectral and cumulative thermal conductivity w.r.t frequency

../../_images/fig_cumu_mfp694.png

(b) Spectral and cumulative thermal conductivity w.r.t MFP

Force constants

../../_images/fig_fc21001.png

(a) Force constants w.r.t atomic distance

Summary

../../_images/fig_times1707.png

(a) Computation time