mp-9007/Na6P4W/anharm

Harmonic properties

../../_images/fig_bandos_pr1342.png

(a) Phonon dispersion with participation ratio and DOS

../../_images/fig_thermo1342.png

(b) Thermodynamic properties

Grüneisen parameters

../../_images/fig_gru_all823.png

(a) Grüneisen parameters

../../_images/fig_gruneisen823.png

(b) Phonon dispersion with Grüneisen parameters

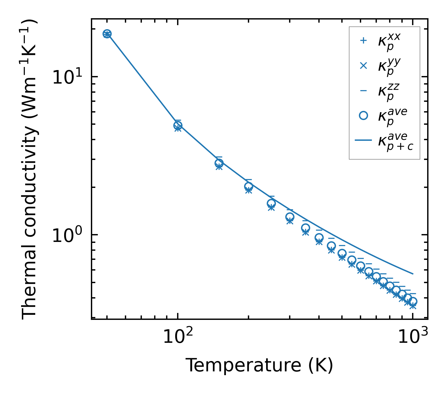
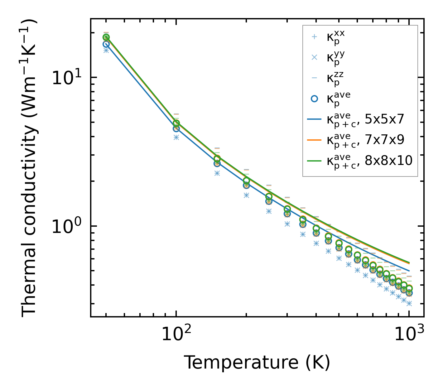
Thermal conductivity

3-phonon (LASSO) — q-mesh: 8x8x10, supercell: 1x1x2

../../_images/fig_kappa1597.png

(a) Temperature-dependent lattice thermal conductivity

../../_images/fig_kappa_vs_grain_size832.png

(b) Peierls lattice thermal conductivity w.r.t grain size

Phonon lifetime and scattering rates

../../_images/fig_lifetime817.png

(a) Phonon lifetime due to phonon-phonon scattering

../../_images/fig_scat_rates816.png

(b) Phonon scattering rates

Cumulative and spectral thermal conductivity

../../_images/fig_cumu_frequency817.png

(a) Spectral and cumulative thermal conductivity w.r.t frequency

../../_images/fig_cumu_mfp817.png

(b) Spectral and cumulative thermal conductivity w.r.t MFP

Force constants

../../_images/fig_fc21198.png

(a) Force constants w.r.t atomic distance

Summary

../../_images/fig_kappa1598.png

(a) Temperature-dependent lattice thermal conductivity

../../_images/fig_times2020.png

(b) Computation time