mp-9392-2/Sr4Al6TeO12/anharm

Equation of state

../../_images/fig_bm530.png

(a) Equation of state

Harmonic properties

../../_images/fig_bandos_pr1470.png

(a) Phonon dispersion with participation ratio and DOS

../../_images/fig_bandos1365.png

(b) Phonon dispersion and DOS

../../_images/fig_thermo1470.png

(c) Thermodynamic properties

Grüneisen parameters

../../_images/fig_gru_all903.png

(a) Grüneisen parameters

../../_images/fig_gruneisen903.png

(b) Phonon dispersion with Grüneisen parameters

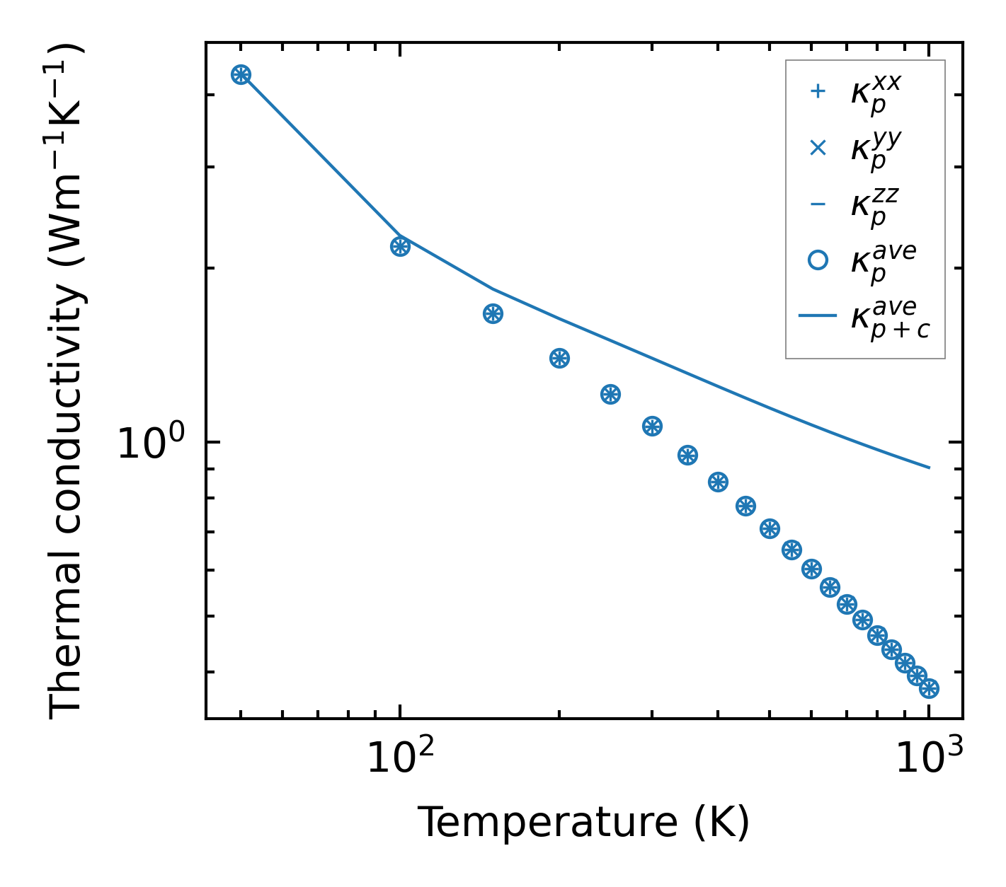
Thermal conductivity

3-phonon (LASSO), supercell 2x2x2 — q-mesh: 9x9x9, supercell: 2x2x2

../../_images/fig_kappa1753.png

(a) Temperature-dependent lattice thermal conductivity

../../_images/fig_kappa_vs_grain_size913.png

(b) Peierls lattice thermal conductivity w.r.t grain size

Phonon lifetime and scattering rates

../../_images/fig_lifetime896.png

(a) Phonon lifetime due to phonon-phonon scattering

../../_images/fig_scat_rates895.png

(b) Phonon scattering rates

Cumulative and spectral thermal conductivity

../../_images/fig_cumu_frequency896.png

(a) Spectral and cumulative thermal conductivity w.r.t frequency

../../_images/fig_cumu_mfp896.png

(b) Spectral and cumulative thermal conductivity w.r.t MFP

Force constants

../../_images/fig_fc21322.png

(a) Force constants w.r.t atomic distance

Summary

../../_images/fig_times2194.png

(a) Computation time