mp-9368-2/RbTmS2/anharm

Equation of state

../../_images/fig_bm525.png

(a) Equation of state

Harmonic properties

../../_images/fig_bandos_pr1459.png

(a) Phonon dispersion with participation ratio and DOS

../../_images/fig_thermo1459.png

(b) Thermodynamic properties

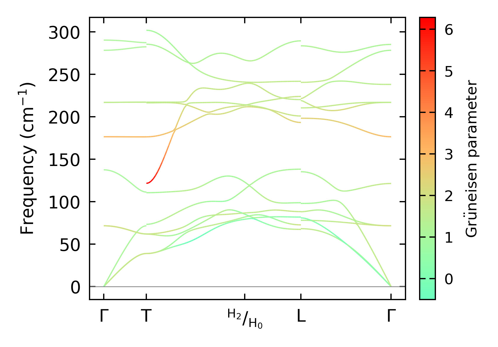
Grüneisen parameters

../../_images/fig_gru_all897.png

(a) Grüneisen parameters

../../_images/fig_gruneisen897.png

(b) Phonon dispersion with Grüneisen parameters

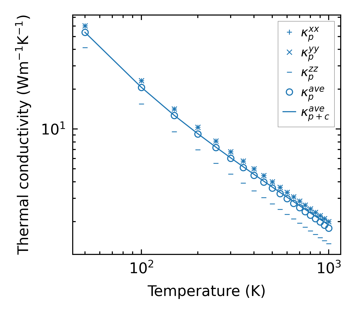
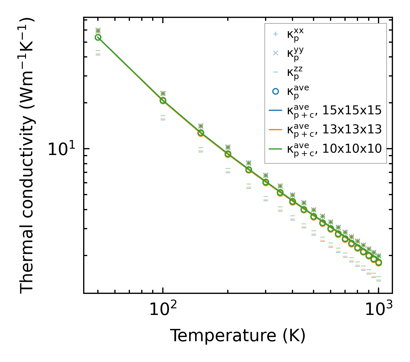
Thermal conductivity

3-phonon (LASSO) — q-mesh: 15x15x15, supercell: 3x3x1

../../_images/fig_kappa1741.png

(a) Temperature-dependent lattice thermal conductivity

../../_images/fig_kappa_vs_grain_size907.png

(b) Peierls lattice thermal conductivity w.r.t grain size

Phonon lifetime and scattering rates

../../_images/fig_lifetime890.png

(a) Phonon lifetime due to phonon-phonon scattering

../../_images/fig_scat_rates889.png

(b) Phonon scattering rates

Cumulative and spectral thermal conductivity

../../_images/fig_cumu_frequency890.png

(a) Spectral and cumulative thermal conductivity w.r.t frequency

../../_images/fig_cumu_mfp890.png

(b) Spectral and cumulative thermal conductivity w.r.t MFP

Force constants

../../_images/fig_fc21311.png

(a) Force constants w.r.t atomic distance

Summary

../../_images/fig_kappa1742.png

(a) Temperature-dependent lattice thermal conductivity

../../_images/fig_times2180.png

(b) Computation time