mp-9295/TaCu3Te4/anharm

Equation of state

../../_images/fig_bm510.png

(a) Equation of state

Harmonic properties

../../_images/fig_bandos_pr1423.png

(a) Phonon dispersion with participation ratio and DOS

../../_images/fig_thermo1423.png

(b) Thermodynamic properties

Grüneisen parameters

../../_images/fig_gru_all875.png

(a) Grüneisen parameters

../../_images/fig_gruneisen875.png

(b) Phonon dispersion with Grüneisen parameters

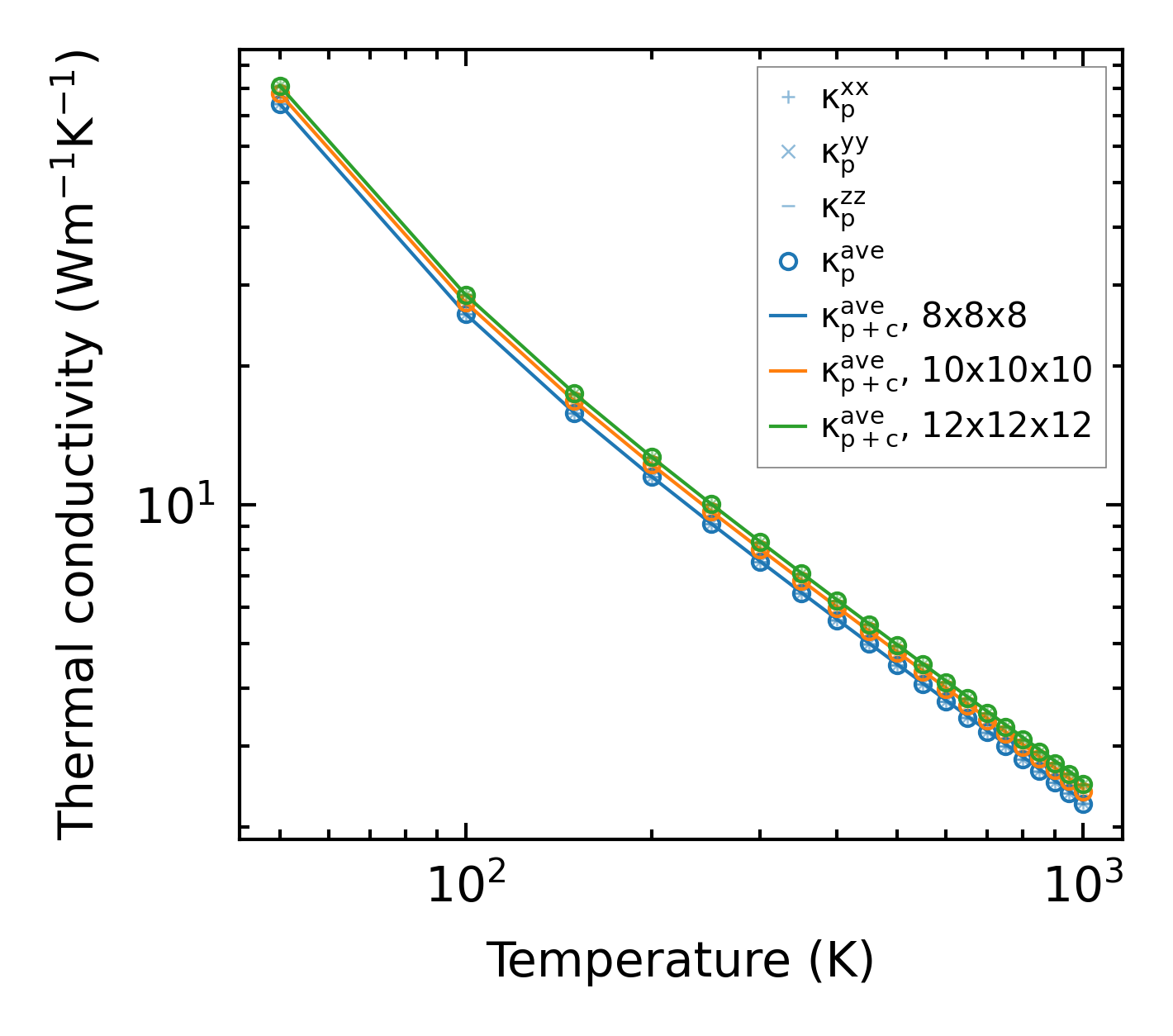
Thermal conductivity

3-phonon (LASSO) — q-mesh: 12x12x12, supercell: 2x2x2

../../_images/fig_kappa1698.png

(a) Temperature-dependent lattice thermal conductivity

../../_images/fig_kappa_vs_grain_size885.png

(b) Peierls lattice thermal conductivity w.r.t grain size

Phonon lifetime and scattering rates

../../_images/fig_lifetime868.png

(a) Phonon lifetime due to phonon-phonon scattering

../../_images/fig_scat_rates867.png

(b) Phonon scattering rates

Cumulative and spectral thermal conductivity

../../_images/fig_cumu_frequency868.png

(a) Spectral and cumulative thermal conductivity w.r.t frequency

../../_images/fig_cumu_mfp868.png

(b) Spectral and cumulative thermal conductivity w.r.t MFP

Force constants

../../_images/fig_fc21275.png

(a) Force constants w.r.t atomic distance

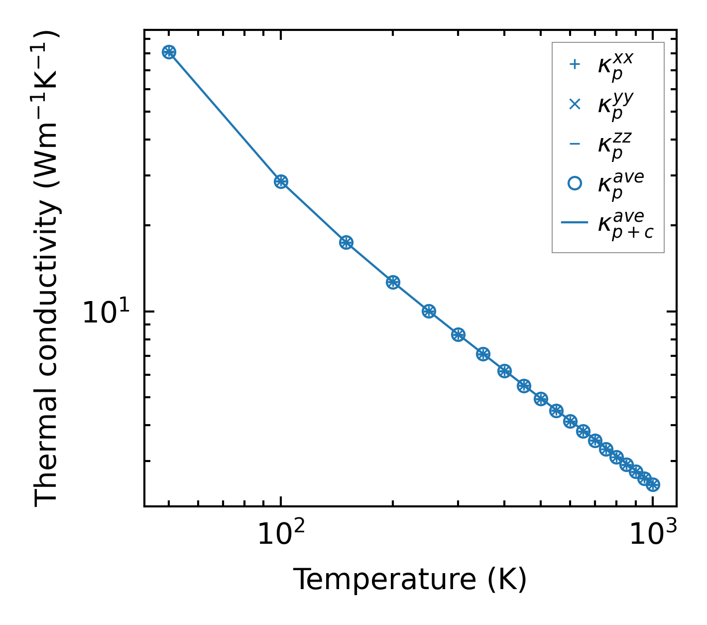
Summary

../../_images/fig_kappa1699.png

(a) Temperature-dependent lattice thermal conductivity

../../_images/fig_times2137.png

(b) Computation time