mp-9478-2/BaSi4O9/anharm

Equation of state

../../_images/fig_bm369.png

(a) Equation of state

Harmonic properties

../../_images/fig_bandos_pr1122.png

(a) Phonon dispersion with participation ratio and DOS

../../_images/fig_bandos1055.png

(b) Phonon dispersion and DOS

../../_images/fig_thermo1122.png

(c) Thermodynamic properties

Grüneisen parameters

../../_images/fig_gru_all686.png

(a) Grüneisen parameters

../../_images/fig_gruneisen686.png

(b) Phonon dispersion with Grüneisen parameters

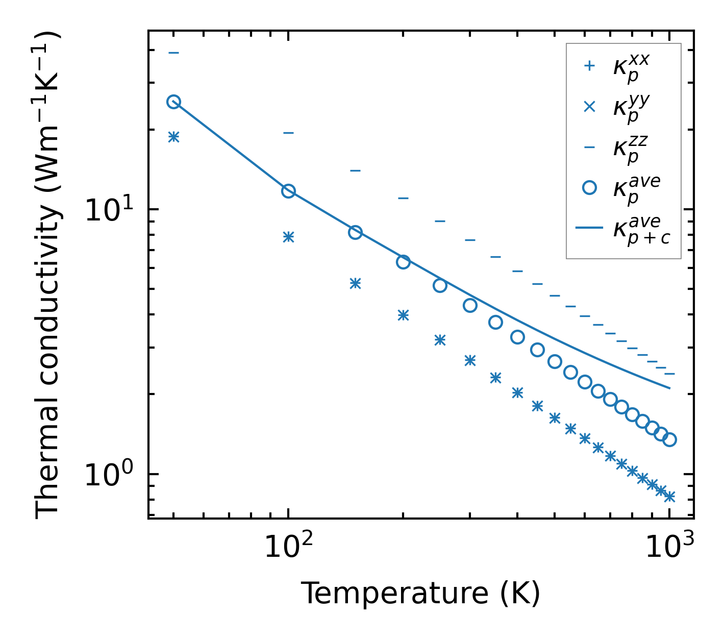
Thermal conductivity

3-phonon (LASSO) — q-mesh: 11x11x8, supercell: 2x2x1

../../_images/fig_kappa1339.png

(a) Temperature-dependent lattice thermal conductivity

../../_images/fig_kappa_vs_grain_size695.png

(b) Peierls lattice thermal conductivity w.r.t grain size

Phonon lifetime and scattering rates

../../_images/fig_lifetime684.png

(a) Phonon lifetime due to phonon-phonon scattering

../../_images/fig_scat_rates683.png

(b) Phonon scattering rates

Cumulative and spectral thermal conductivity

../../_images/fig_cumu_frequency684.png

(a) Spectral and cumulative thermal conductivity w.r.t frequency

../../_images/fig_cumu_mfp684.png

(b) Spectral and cumulative thermal conductivity w.r.t MFP

Force constants

../../_images/fig_fc2988.png

(a) Force constants w.r.t atomic distance

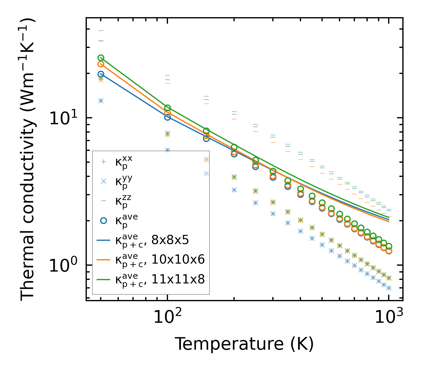
Summary

../../_images/fig_kappa1340.png

(a) Temperature-dependent lattice thermal conductivity

../../_images/fig_times1687.png

(b) Computation time