mp-9008/RbTeAu/anharm

Equation of state

../../_images/fig_bm470.png

(a) Equation of state

Harmonic properties

../../_images/fig_bandos_pr1343.png

(a) Phonon dispersion with participation ratio and DOS

../../_images/fig_thermo1343.png

(b) Thermodynamic properties

Grüneisen parameters

../../_images/fig_gru_all824.png

(a) Grüneisen parameters

../../_images/fig_gruneisen824.png

(b) Phonon dispersion with Grüneisen parameters

Thermal conductivity

3-phonon (LASSO) — q-mesh: 12x14x10, supercell: 3x3x2

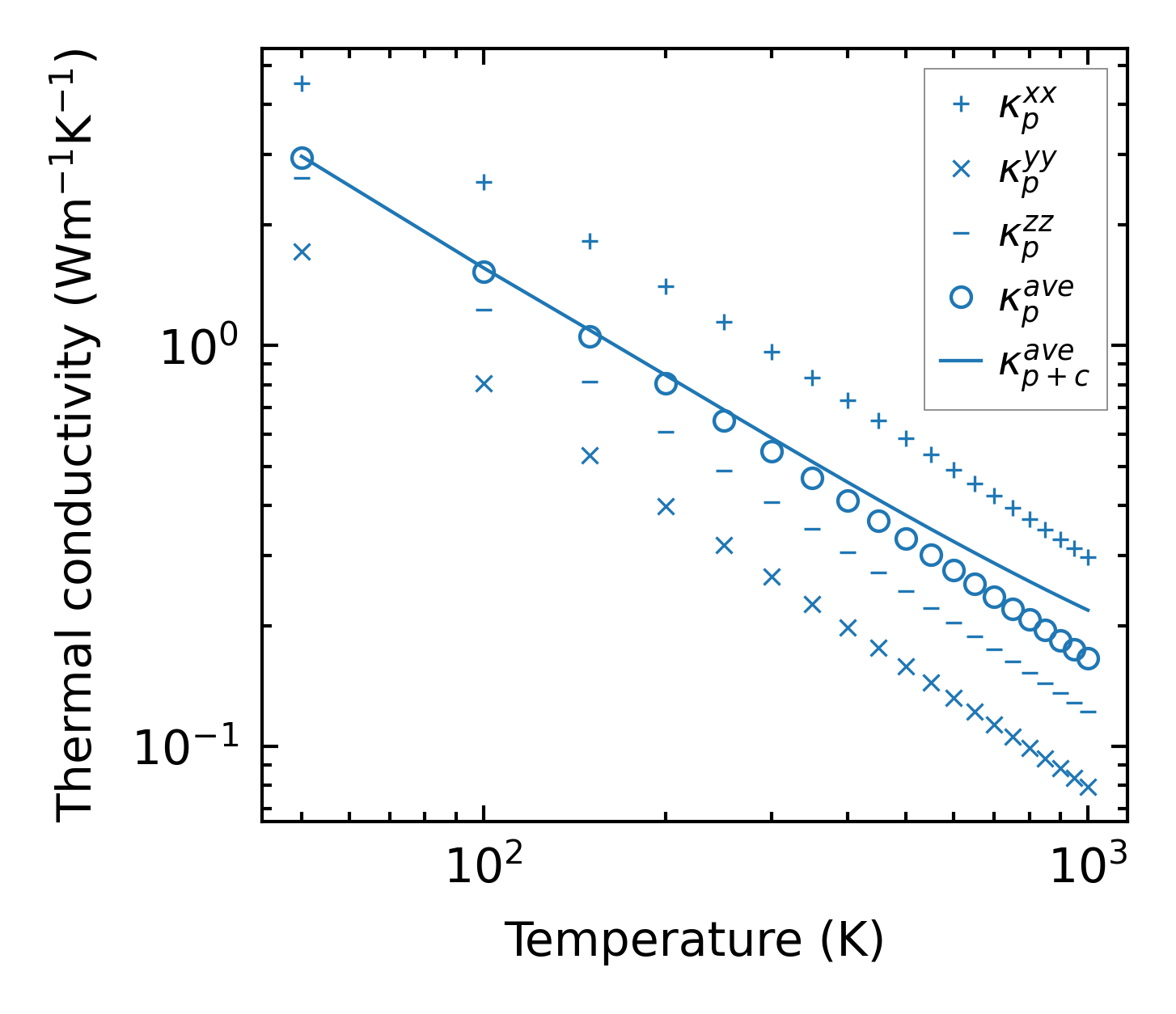
../../_images/fig_kappa1599.png

(a) Temperature-dependent lattice thermal conductivity

../../_images/fig_kappa_vs_grain_size833.png

(b) Peierls lattice thermal conductivity w.r.t grain size

Phonon lifetime and scattering rates

../../_images/fig_lifetime818.png

(a) Phonon lifetime due to phonon-phonon scattering

../../_images/fig_scat_rates817.png

(b) Phonon scattering rates

Cumulative and spectral thermal conductivity

../../_images/fig_cumu_frequency818.png

(a) Spectral and cumulative thermal conductivity w.r.t frequency

../../_images/fig_cumu_mfp818.png

(b) Spectral and cumulative thermal conductivity w.r.t MFP

Force constants

../../_images/fig_fc21199.png

(a) Force constants w.r.t atomic distance

Summary

../../_images/fig_kappa1600.png

(a) Temperature-dependent lattice thermal conductivity

../../_images/fig_times2021.png

(b) Computation time