mp-9029/Ca3VN3/anharm

Harmonic properties

../../_images/fig_bandos_pr1346.png

(a) Phonon dispersion with participation ratio and DOS

../../_images/fig_thermo1346.png

(b) Thermodynamic properties

Grüneisen parameters

../../_images/fig_gru_all827.png

(a) Grüneisen parameters

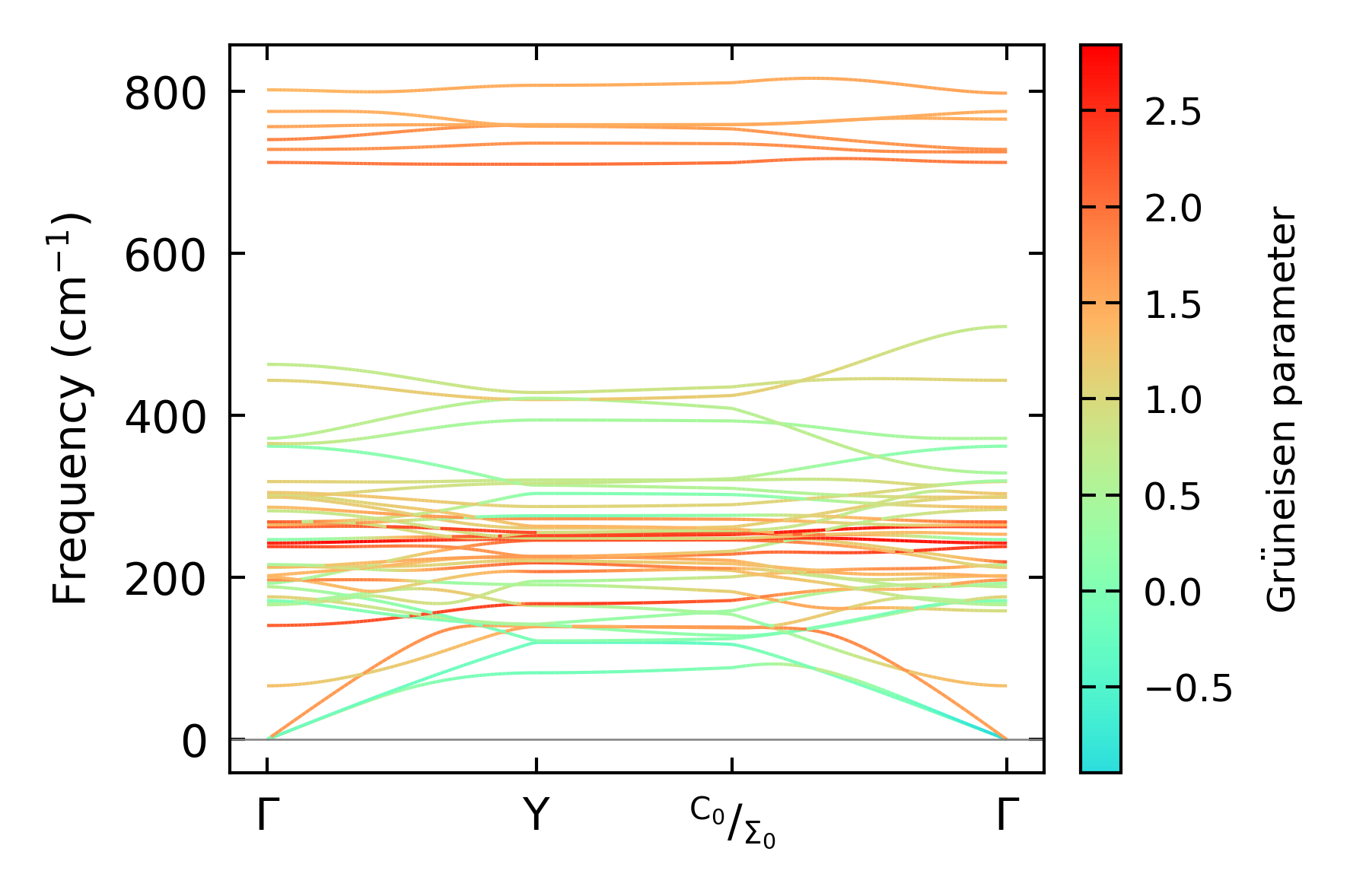
../../_images/fig_gruneisen827.png

(b) Phonon dispersion with Grüneisen parameters

Thermal conductivity

3-phonon (LASSO) — q-mesh: 10x10x14, supercell: 2x1x2

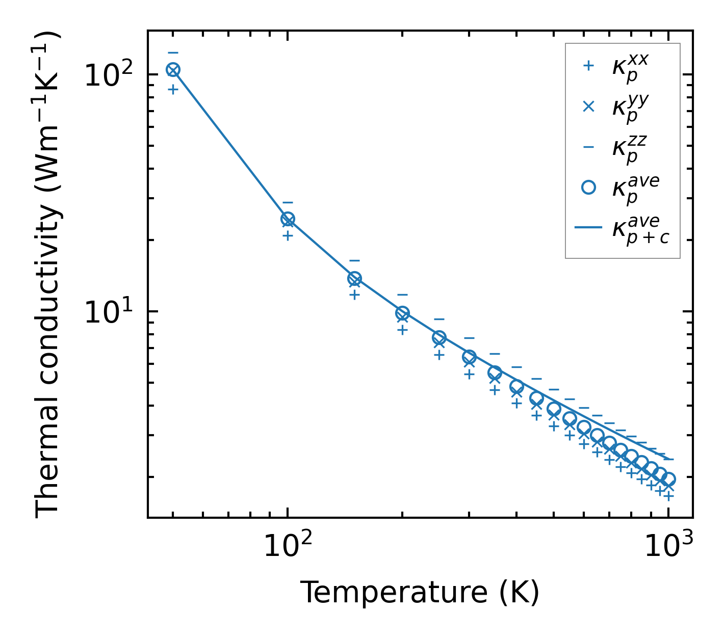
../../_images/fig_kappa1605.png

(a) Temperature-dependent lattice thermal conductivity

../../_images/fig_kappa_vs_grain_size836.png

(b) Peierls lattice thermal conductivity w.r.t grain size

Phonon lifetime and scattering rates

../../_images/fig_lifetime821.png

(a) Phonon lifetime due to phonon-phonon scattering

../../_images/fig_scat_rates820.png

(b) Phonon scattering rates

Cumulative and spectral thermal conductivity

../../_images/fig_cumu_frequency821.png

(a) Spectral and cumulative thermal conductivity w.r.t frequency

../../_images/fig_cumu_mfp821.png

(b) Spectral and cumulative thermal conductivity w.r.t MFP

Force constants

../../_images/fig_fc21202.png

(a) Force constants w.r.t atomic distance

Summary

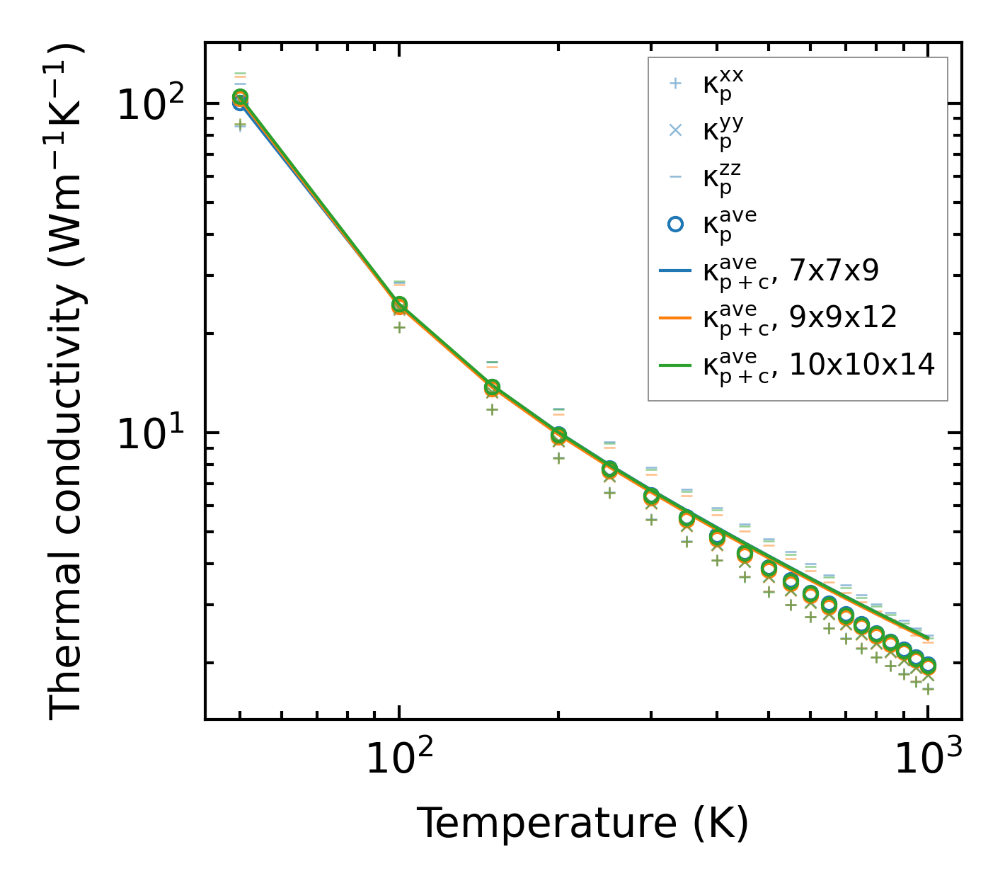
../../_images/fig_kappa1606.png

(a) Temperature-dependent lattice thermal conductivity

../../_images/fig_times2027.png

(b) Computation time